Open Access

Fig. 12.

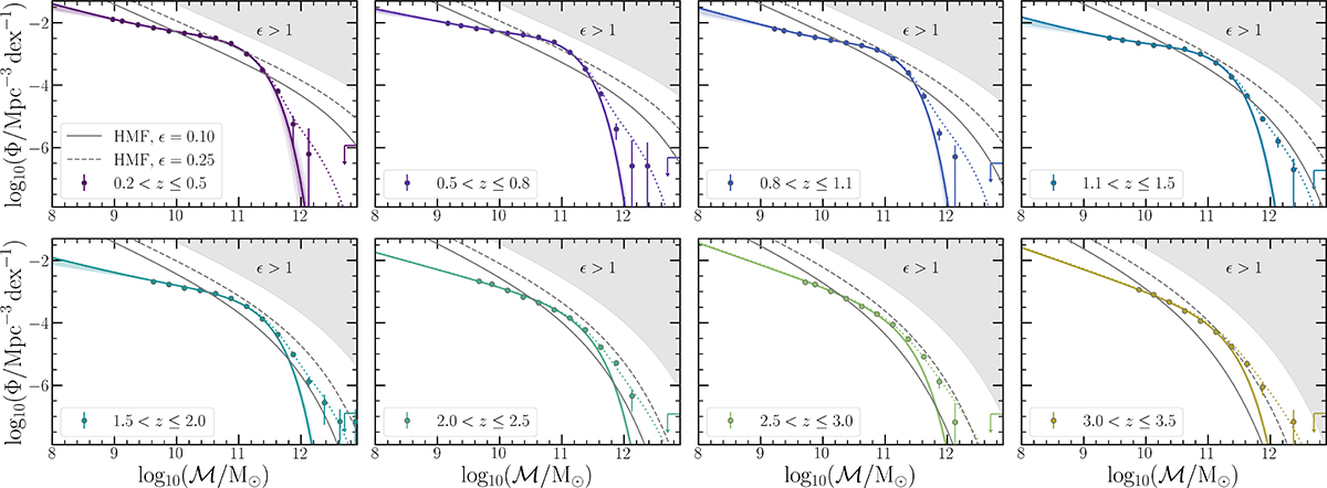
Fig. 12. Refer to the following caption and surrounding text.

Download original image

Intrinsic galaxy SMF of the total sample through to 3.0 < z ≤ 3.5 (solid lines) and observed values (data points) with error bars (in matching colours) compared to the Tinker et al. (2008) dark matter HMF assuming a universal baryon fraction and various integrated star-formation (baryon-to-star conversion) efficiencies, ϵ. ℳ bins below the stellar mass limit are not shown. Maximum a posteriori values for the intrinsic galaxy SMFs are assumed. The uncertainty (1σ dark, 2σ light) according to the variation in the MCMC chains is shown by the shaded regions. The dotted coloured line represents the ‘observed’ model of the galaxy SMF, i.e. including the Eddington bias (Sect. 4.3). The shaded grey region corresponds to the number density of galaxies that would require 100% conversion (or greater) of baryons into star.

Current usage metrics show cumulative count of Article Views (full-text article views including HTML views, PDF and ePub downloads, according to the available data) and Abstracts Views on Vision4Press platform.

Data correspond to usage on the plateform after 2015. The current usage metrics is available 48-96 hours after online publication and is updated daily on week days.

Initial download of the metrics may take a while.