Open Access

Fig. C.3.

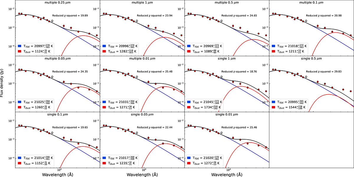
Fig. C.3. Refer to the following caption and surrounding text.

Download original image

SED fitting with two blackbodies for the observed UVO+IR SEDs. The fitting was performed with a modified blackbody for the dust. The dust composed of graphite with a variety of grain sizes, as described in Sect. 3.2, including both single size and multiple size distributions. The i band was excluded from the fit.

Current usage metrics show cumulative count of Article Views (full-text article views including HTML views, PDF and ePub downloads, according to the available data) and Abstracts Views on Vision4Press platform.

Data correspond to usage on the plateform after 2015. The current usage metrics is available 48-96 hours after online publication and is updated daily on week days.

Initial download of the metrics may take a while.