Open Access

Fig. C.4.

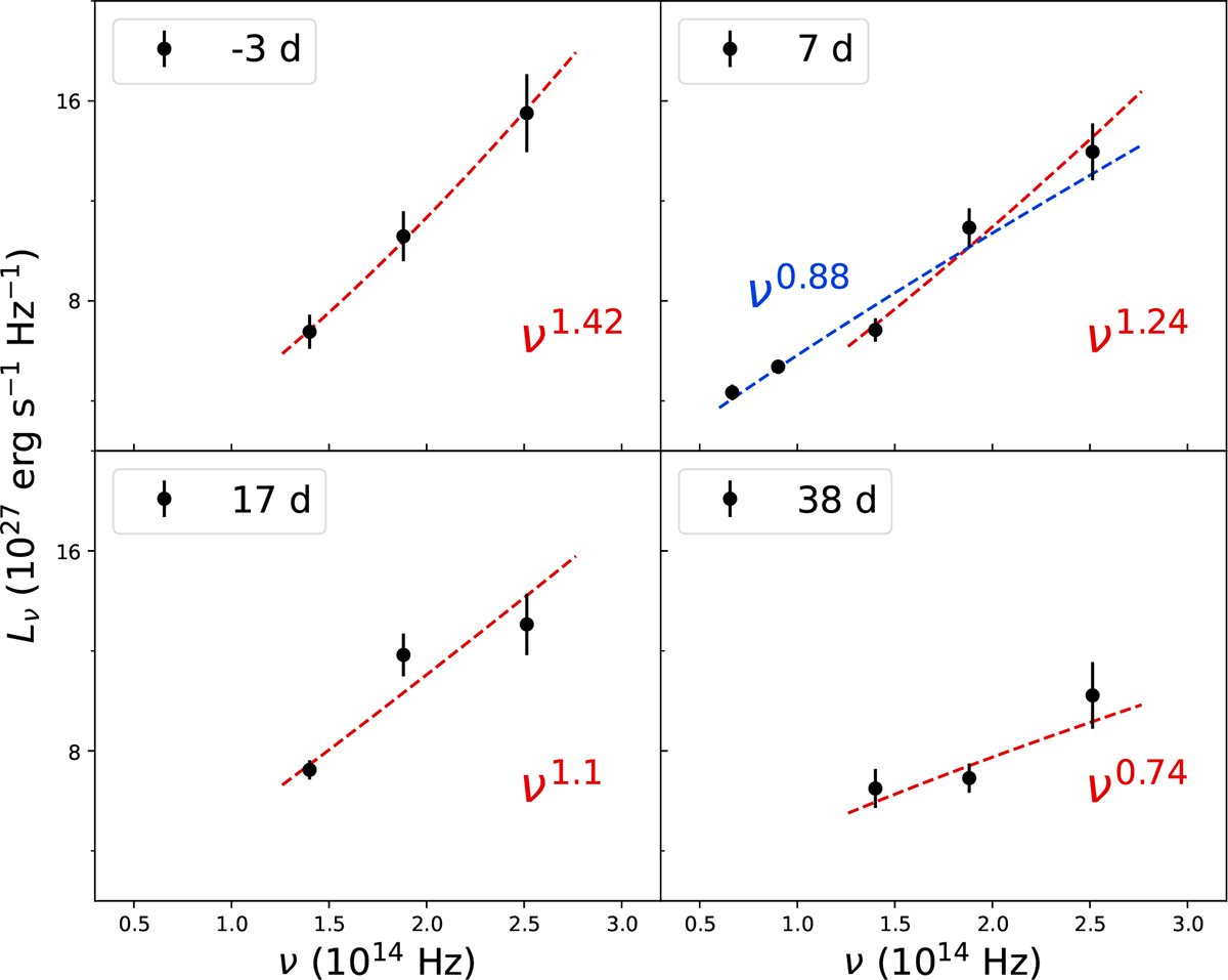
Fig. C.4. Refer to the following caption and surrounding text.

Download original image

Power-law fits to the NIR and MIR SEDs of AT 2019azh. The power laws shown in red fit only the NIR data, while those shown in blue fit both the NIR and MIR data. Uncertainties are listed in Table 1.

Current usage metrics show cumulative count of Article Views (full-text article views including HTML views, PDF and ePub downloads, according to the available data) and Abstracts Views on Vision4Press platform.

Data correspond to usage on the plateform after 2015. The current usage metrics is available 48-96 hours after online publication and is updated daily on week days.

Initial download of the metrics may take a while.