Open Access

Fig. 11.

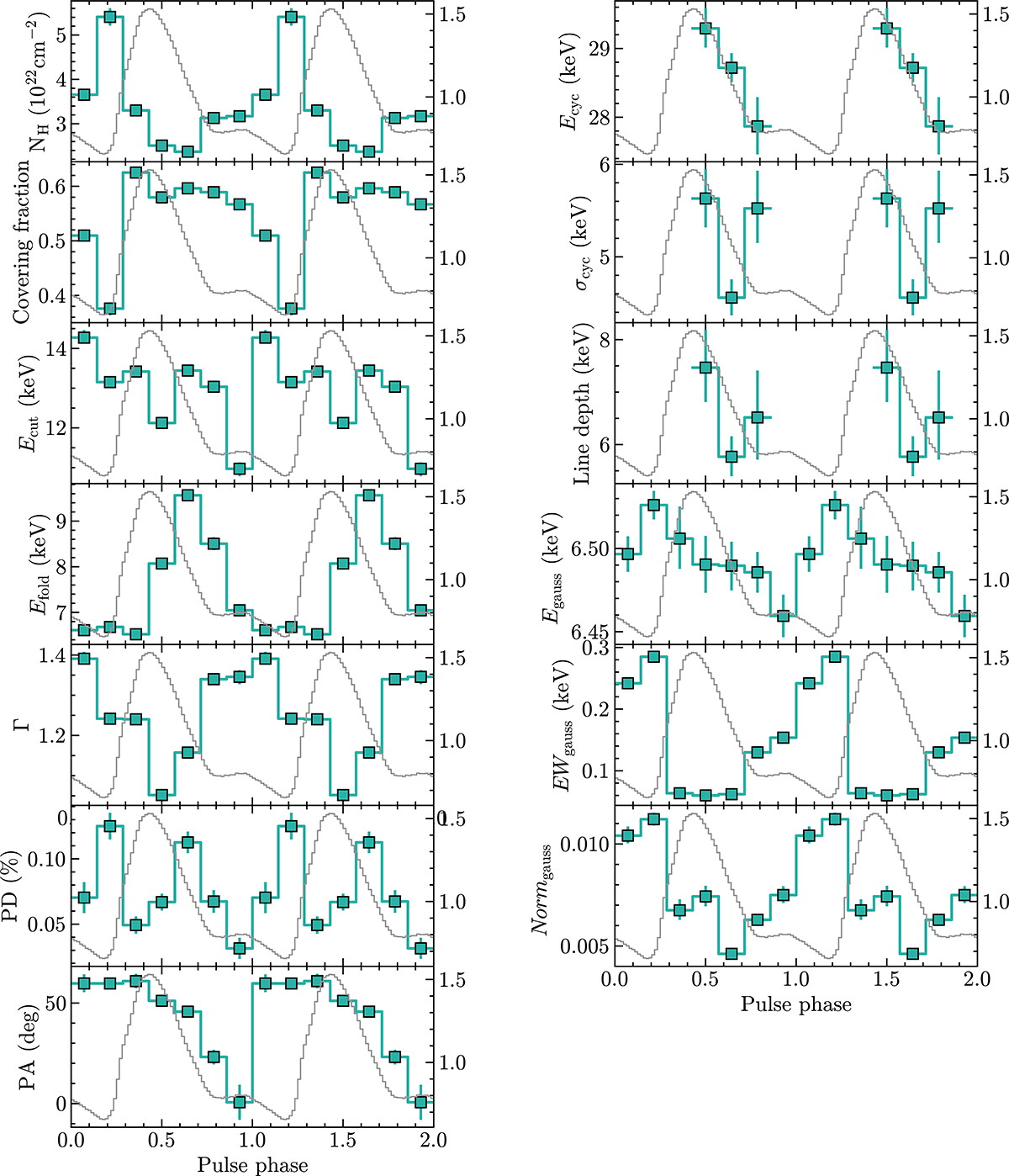
Fig. 11. Refer to the following caption and surrounding text.

Download original image

Variations in spectral parameters with pulse phase. The left axes exhibit the spectral parameter evolution with pulse phase, while the right axes show the pulse profiles of NuSTAR in the 4–79 keV range. The parameters shown are: NH – hydrogen column density from the pcfabs component (×1022 cm−2), representing intrinsic absorption; covering fraction – fraction of the source covered by absorbing material; Ecut – cutoff energy in the highecut component (keV); Efold – e-folding energy in the highecut component (keV); Γ – photon index of the power-law component; PD – polarization degree; PA – polarization angle; Ecyc – CRSF centroid energy (keV); σcyc – width of the CRSF line (keV); line depth – optical depth of the CRSF; Egauss – centroid energy of the iron fluorescence line (keV); EWgauss – equivalent width of the iron line (keV); Normgauss – normalization of the iron line component.

Current usage metrics show cumulative count of Article Views (full-text article views including HTML views, PDF and ePub downloads, according to the available data) and Abstracts Views on Vision4Press platform.

Data correspond to usage on the plateform after 2015. The current usage metrics is available 48-96 hours after online publication and is updated daily on week days.

Initial download of the metrics may take a while.