Fig. 9.

Download original image
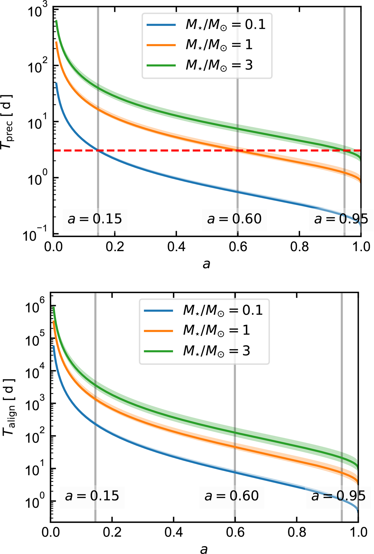
Precession (top panel) and alignment (bottom panel) timescales for a global precessing disc, plotted against black hole spin (a) for three stars of different masses being disrupted, assuming log[MBH/M⊙] = 7.2 (Appendix A). The shaded regions enclose the uncertainty on each timescale due to the 1σ uncertainty on log[MBH/M⊙]. These timescales were computed with H/R = 0.1 and α = 0.1, following Franchini et al. (2016). The dashed red line in the top panel denotes the observed 3-day modulation timescale observed in J2344, and the vertical grey lines denote the spin values that make Tprec consistent with 3 days (e.g. a ∼ 0.6 for a Sun-like star), highlighting that spin constraints derived from this approach are sensitive to the assumed mass of the disrupted star.
Current usage metrics show cumulative count of Article Views (full-text article views including HTML views, PDF and ePub downloads, according to the available data) and Abstracts Views on Vision4Press platform.
Data correspond to usage on the plateform after 2015. The current usage metrics is available 48-96 hours after online publication and is updated daily on week days.
Initial download of the metrics may take a while.