Open Access

Fig. 11.

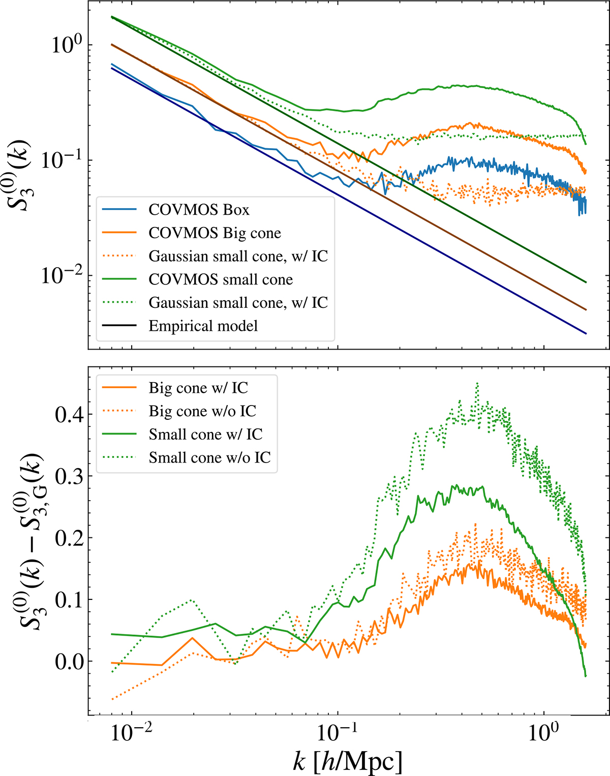
Fig. 11. Refer to the following caption and surrounding text.

Download original image

Impact of the survey mask. Top: Estimated skewness in the three geometries from the COVMOS simulations (light coloured plain lines) and the Gaussian field realisations, where the contribution from IC is not subtracted (dotted lines). We also show our empirical model for the Gaussian field without the IC contribution (dark coloured solid lines). Bottom: Difference between the skewness estimated in the COVMOS simulations and the Gaussian realisations with and without IC (light coloured plain and dotted lines, respectively).

Current usage metrics show cumulative count of Article Views (full-text article views including HTML views, PDF and ePub downloads, according to the available data) and Abstracts Views on Vision4Press platform.

Data correspond to usage on the plateform after 2015. The current usage metrics is available 48-96 hours after online publication and is updated daily on week days.

Initial download of the metrics may take a while.