Open Access

Fig. 3.

Fig. 3. Refer to the following caption and surrounding text.

Download original image

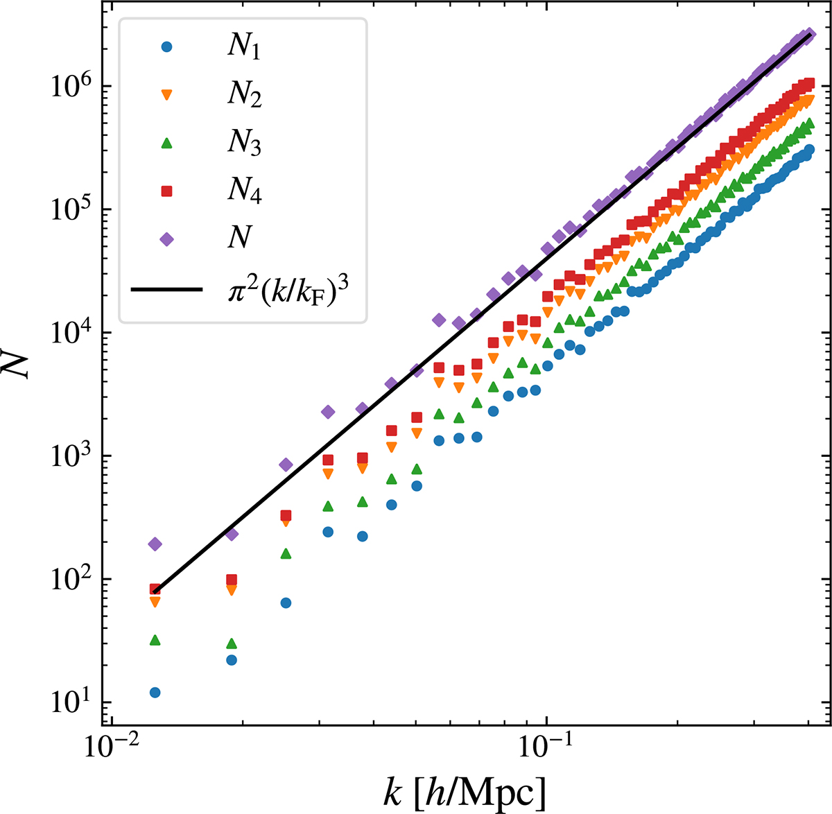
Number of triplets, k1, k2, k3, per k-shell depending on the considered configuration, N1, N2, N3, and N4. The purple diamonds show the total number of triplets, and the black line shows the corresponding expected number.

Current usage metrics show cumulative count of Article Views (full-text article views including HTML views, PDF and ePub downloads, according to the available data) and Abstracts Views on Vision4Press platform.

Data correspond to usage on the plateform after 2015. The current usage metrics is available 48-96 hours after online publication and is updated daily on week days.

Initial download of the metrics may take a while.