Fig. 4.

Download original image
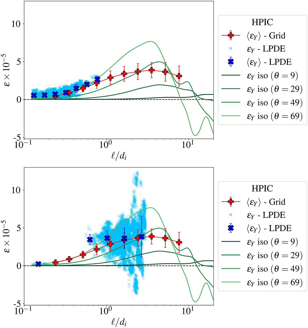
Scale-dependent energy cascade rate from Yaglom’s law using different methods. Grid-computed exact solution (red plus). We show single-s/c PP estimates at varying angles to B0 (green lines). We also show LPDE multi-s/c solutions (cyan cross) and the LPDE average (large blue cross), and the error bars indicate the standard deviation. Top: LPDE on smaller-scale HS. Bottom: LPDE on larger-scale HS.
Current usage metrics show cumulative count of Article Views (full-text article views including HTML views, PDF and ePub downloads, according to the available data) and Abstracts Views on Vision4Press platform.
Data correspond to usage on the plateform after 2015. The current usage metrics is available 48-96 hours after online publication and is updated daily on week days.
Initial download of the metrics may take a while.