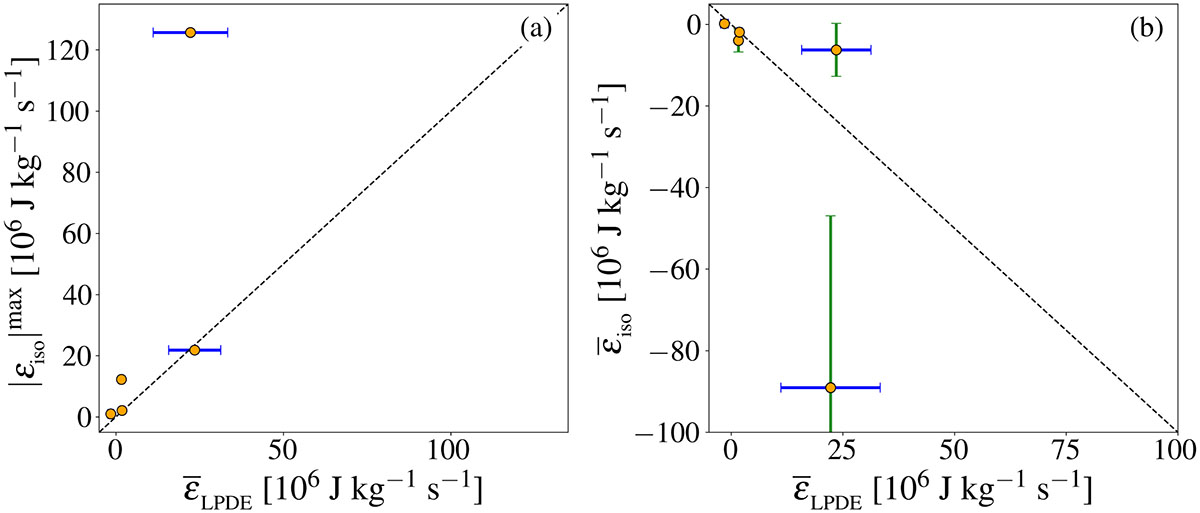
Fig. 9.

Download original image
Comparison of nonlinear energy transfer rate estimates obtained as the average LPDE
, isotropic maximum absolute value (|εiso|max, panel a), and average isotropic value (
, panel b). The former is averaged over all LPDE estimates. The latter two are obtained within the shaded green areas that are roughly representative of the inertial range in Fig. 8. The error bars represent the standard deviation about the means.
Current usage metrics show cumulative count of Article Views (full-text article views including HTML views, PDF and ePub downloads, according to the available data) and Abstracts Views on Vision4Press platform.
Data correspond to usage on the plateform after 2015. The current usage metrics is available 48-96 hours after online publication and is updated daily on week days.
Initial download of the metrics may take a while.