Open Access
Fig. 2.

Download original image
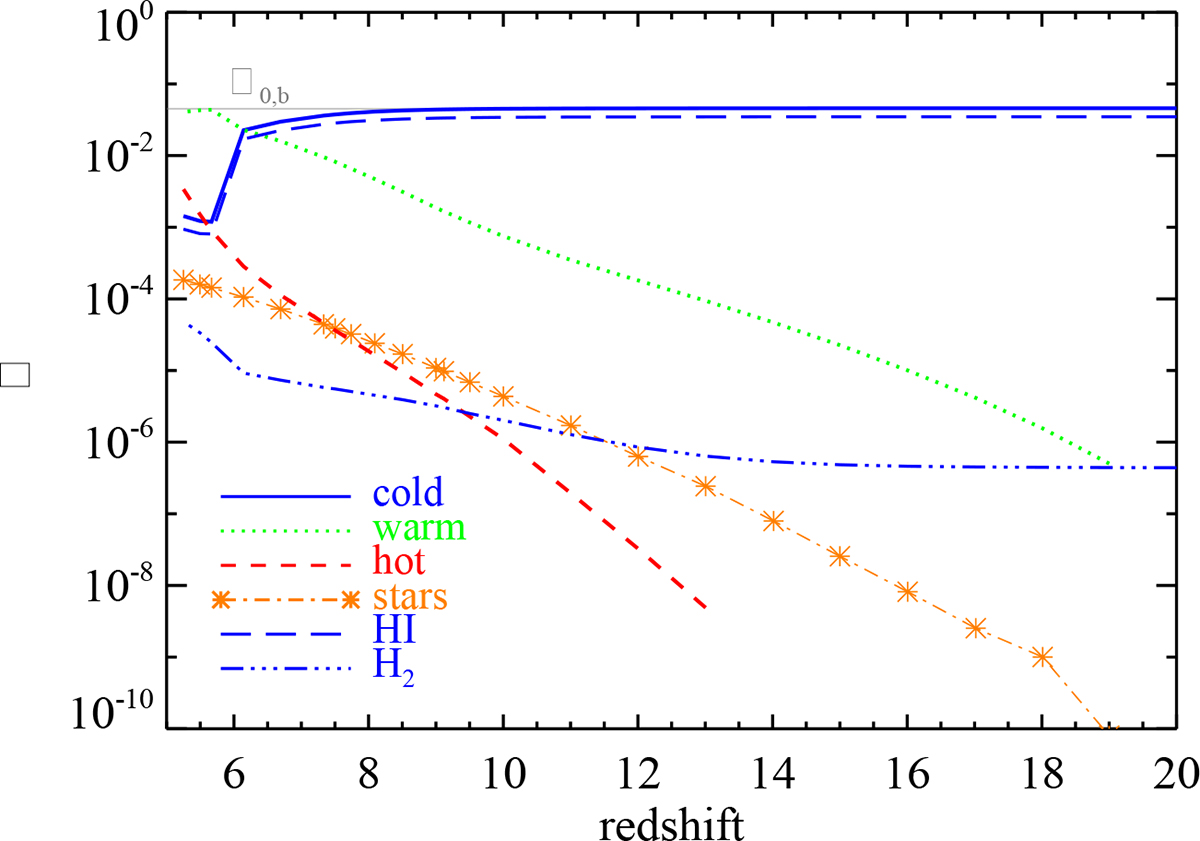
Baryon density parameters as function of redshift for cold (solid line), warm (dotted line), hot (short-dashed line), stellar (dot-dashed line with asterisks), HI (long-dashed line), and H2 (dot-dot-dot-dashed line) phases. The horizontal grey line marks the value of Ω0, b.
Current usage metrics show cumulative count of Article Views (full-text article views including HTML views, PDF and ePub downloads, according to the available data) and Abstracts Views on Vision4Press platform.
Data correspond to usage on the plateform after 2015. The current usage metrics is available 48-96 hours after online publication and is updated daily on week days.
Initial download of the metrics may take a while.