Fig. B.2.

Download original image
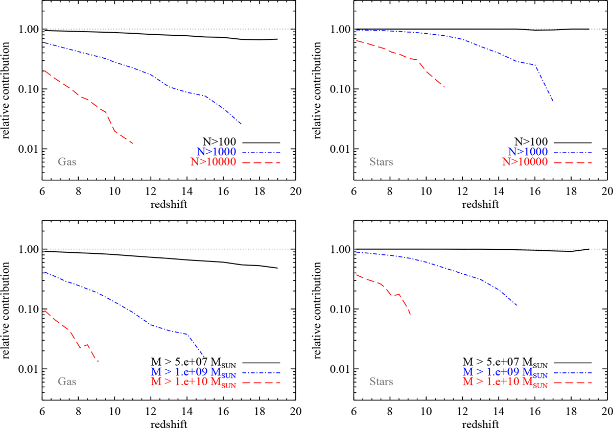
Top row: Contribution to the total gas mass (left) and stellar mass (right) of haloes with a number of particles N > 100 (solid lines), 1 000 (dot-dashed lines), 10 000 (dashed lines) as a function of redshift. Bottom row: Contribution of haloes with total mass M > 5 × 107 (solid lines), 109 (dot-dashed lines) and 1010 M⊙ (dashed lines).
Current usage metrics show cumulative count of Article Views (full-text article views including HTML views, PDF and ePub downloads, according to the available data) and Abstracts Views on Vision4Press platform.
Data correspond to usage on the plateform after 2015. The current usage metrics is available 48-96 hours after online publication and is updated daily on week days.
Initial download of the metrics may take a while.