Open Access

Fig. 4.

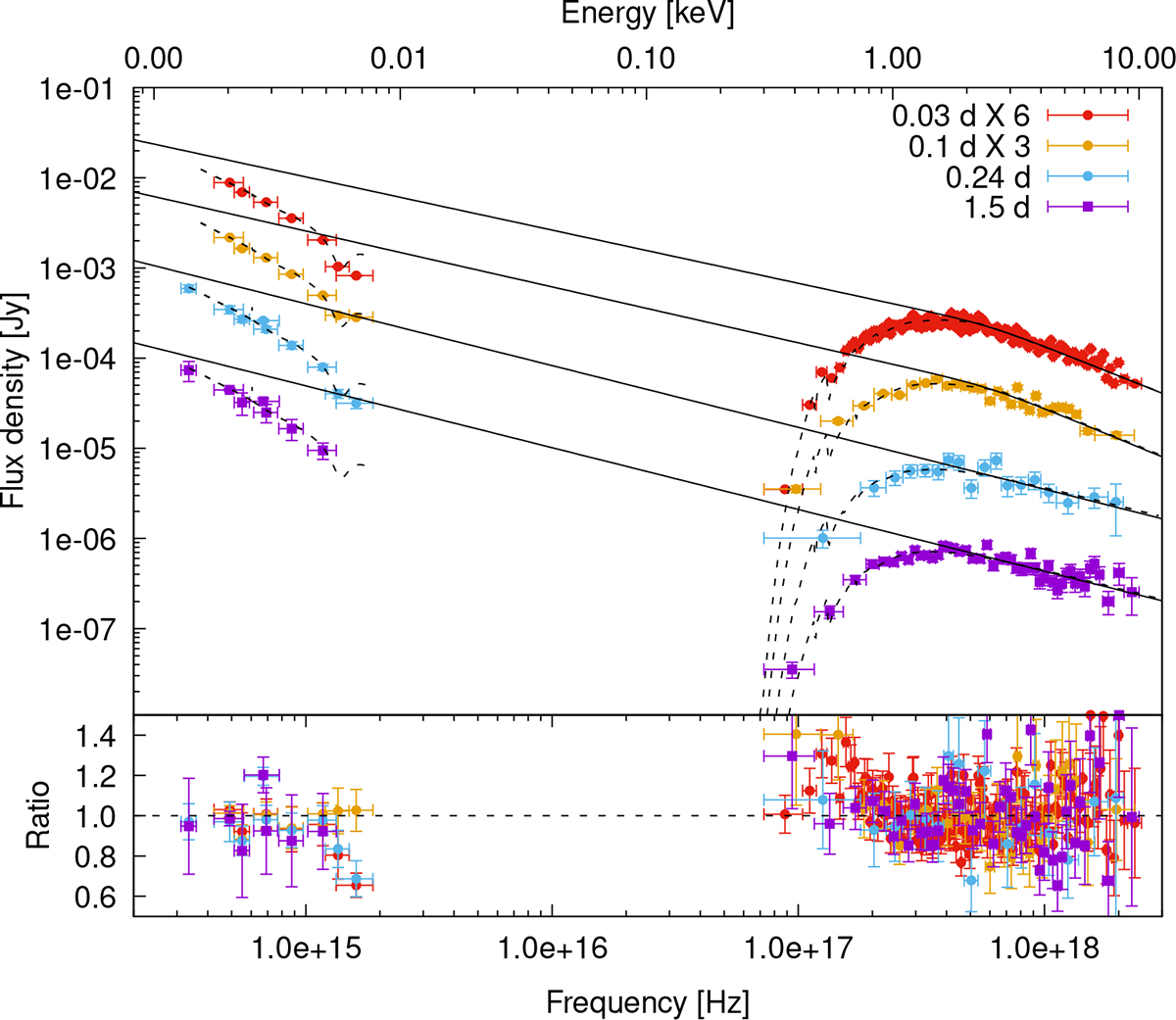
Fig. 4. Refer to the following caption and surrounding text.

Download original image

X-ray to optical SED at 0.03, 0.1, 0.24 and 1.5 days. The last two epochs are well modelled by a joint-fit with a single power law with spectral slope β ∼ 0.7. In the first two epochs, the optical data have a slightly shallower spectral slope, βopt ∼ 0.6, while the X-ray data do not and require a break that moves from 2.1 to 2.6 keV (with βX = βopt + 0.5). The solid line is the unextinguished and unabsorbed model. The dashed line represents the extinguished and absorbed model, dominated by the Galactic foreground extinction in the optical/NIR bands and absorption in the X-rays.

Current usage metrics show cumulative count of Article Views (full-text article views including HTML views, PDF and ePub downloads, according to the available data) and Abstracts Views on Vision4Press platform.

Data correspond to usage on the plateform after 2015. The current usage metrics is available 48-96 hours after online publication and is updated daily on week days.

Initial download of the metrics may take a while.