Open Access
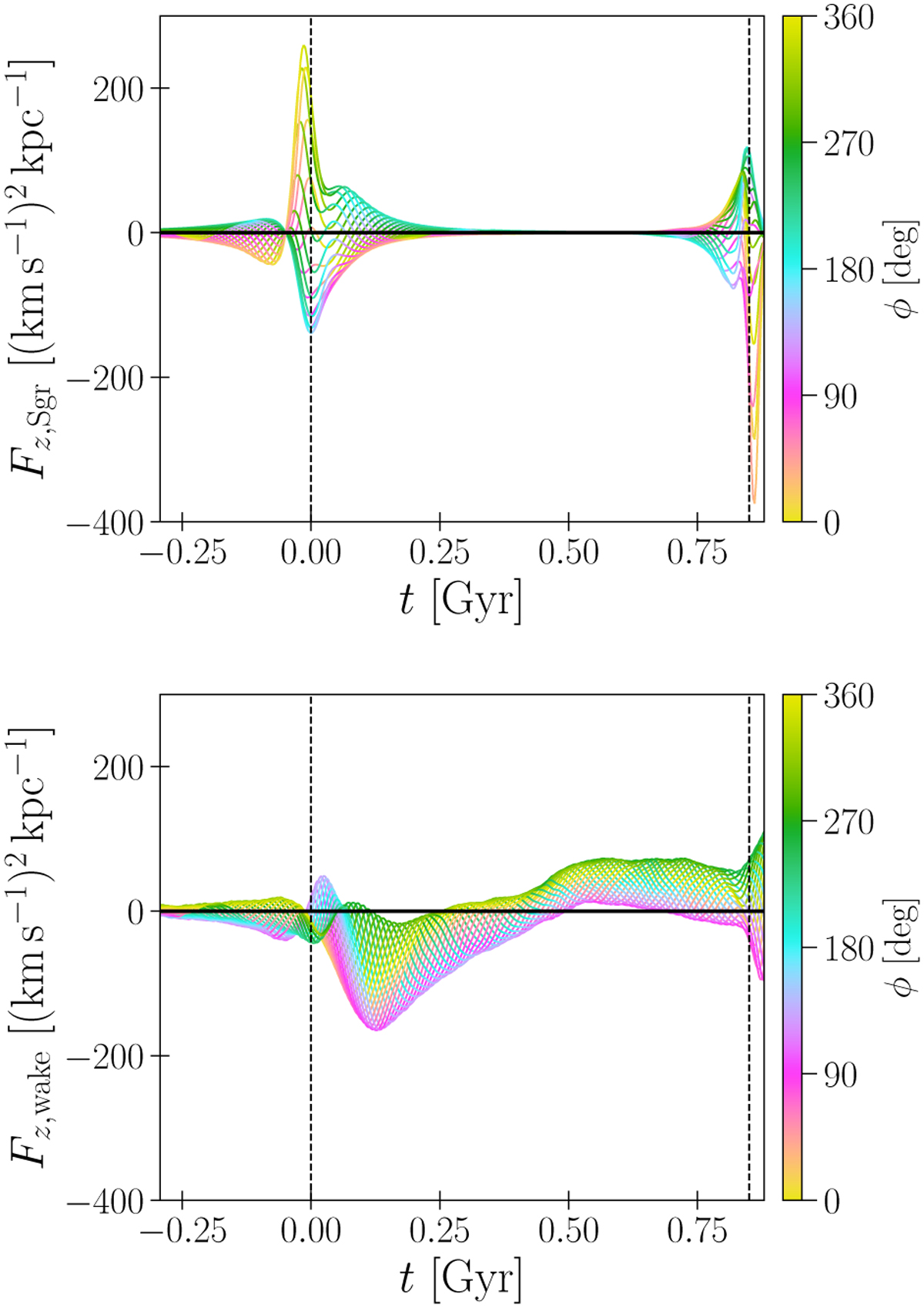
Fig. 1

Download original image
Vertical forces due to Sgr (upper panel) and the DM wake (lower panel). The forces were evaluated along circular orbits at R = 8 kpc, and the colours of the lines indicate the azimuth ϕ = Ω8 kpct + ϕ0. The vertical dashed lines indicate the times of the Sgr pericentric passages.
Current usage metrics show cumulative count of Article Views (full-text article views including HTML views, PDF and ePub downloads, according to the available data) and Abstracts Views on Vision4Press platform.
Data correspond to usage on the plateform after 2015. The current usage metrics is available 48-96 hours after online publication and is updated daily on week days.
Initial download of the metrics may take a while.