Fig. 8

Download original image
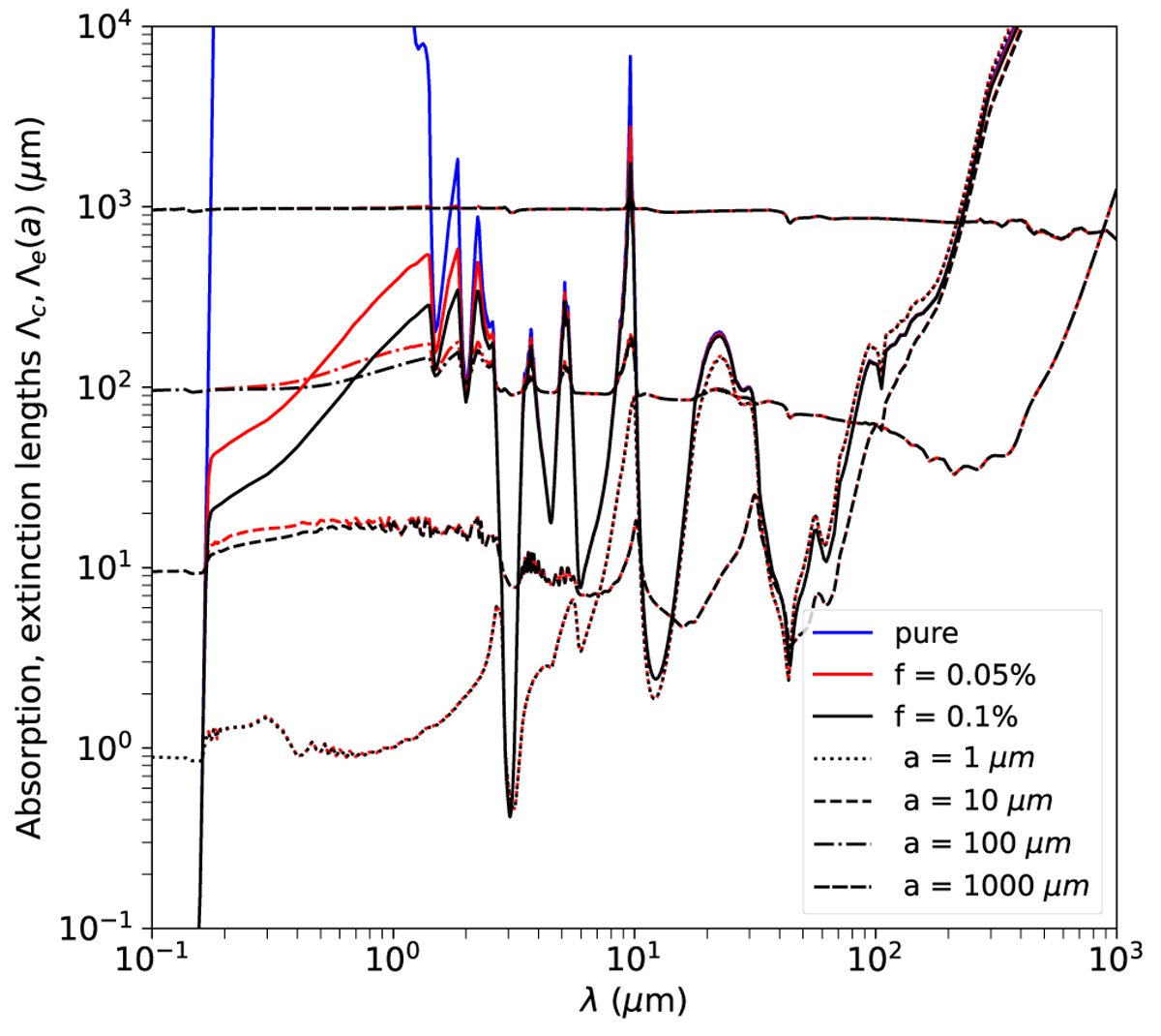
Absorption, Λc (solid line), and extinction, Λe(a), lengths versus wavelength, λ. Λe(a) is plotted for four grain sizes a of 1, 10, 100, and 1000 μm. The composition is Ih water ice, either pure (blue) or mixed on an intra-molecular scale with both AmC and Th contaminants at a fraction of f = 0.05% (red) or f = 1% (black). The porosity p = 0.4.
Current usage metrics show cumulative count of Article Views (full-text article views including HTML views, PDF and ePub downloads, according to the available data) and Abstracts Views on Vision4Press platform.
Data correspond to usage on the plateform after 2015. The current usage metrics is available 48-96 hours after online publication and is updated daily on week days.
Initial download of the metrics may take a while.