Open Access

Fig. 4.

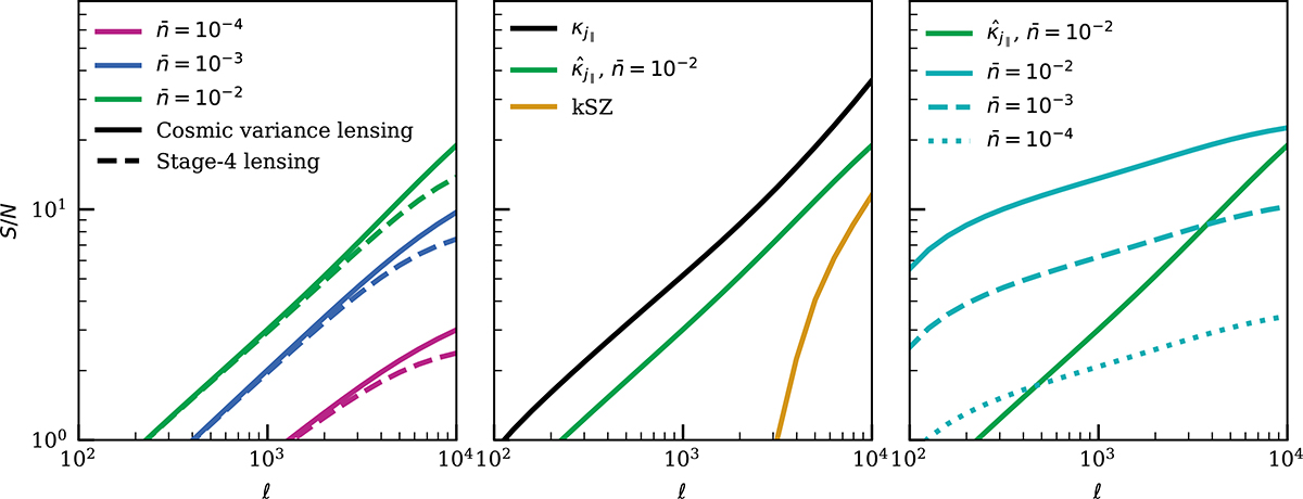
Fig. 4. Refer to the following caption and surrounding text.

Download original image

Cumulative S/N forecasts for detecting the gravitomagnetic lensing signal as a function of maximum angular multipole, . All forecasts assume a sky fraction of fsky ≈ 0.25. Left: S/N for the cross-correlation of the lensing convergence with the reconstructed momentum convergence field for different galaxy number densities ( n ¯ g Mathematical equation: $ \bar{n}_g $, in units of Mpc−3); solid lines show cosmic-variance-limited lensing noise, while dashed lines show stage-four lensing survey noise. Middle: Cosmic-variance-limited S/N for three different momentum field tracers: the true, noiseless field (κj)∥); the reconstructed field ( κ ̂ j ) Mathematical equation: $ \hat{\kappa}_{j){\parallel}} $), assuming a galaxy density of n ¯ g = 10 2 Mathematical equation: $ \bar{n}_g = 10^{-2} $ Mpc−3; and the kinetic Sunyaev-Zel’dovich (kSZ) effect. Right: S/N for the cross-correlation after subtracting a reconstructed density convergence field ( κ ̂ ϕ Mathematical equation: $ \hat{\kappa}_{\phi} $), where the different lines show the effect of varying the galaxy density used for the density reconstruction.

Current usage metrics show cumulative count of Article Views (full-text article views including HTML views, PDF and ePub downloads, according to the available data) and Abstracts Views on Vision4Press platform.

Data correspond to usage on the plateform after 2015. The current usage metrics is available 48-96 hours after online publication and is updated daily on week days.

Initial download of the metrics may take a while.