Open Access

Fig. 2

Fig. 2 Refer to the following caption and surrounding text.

Download original image

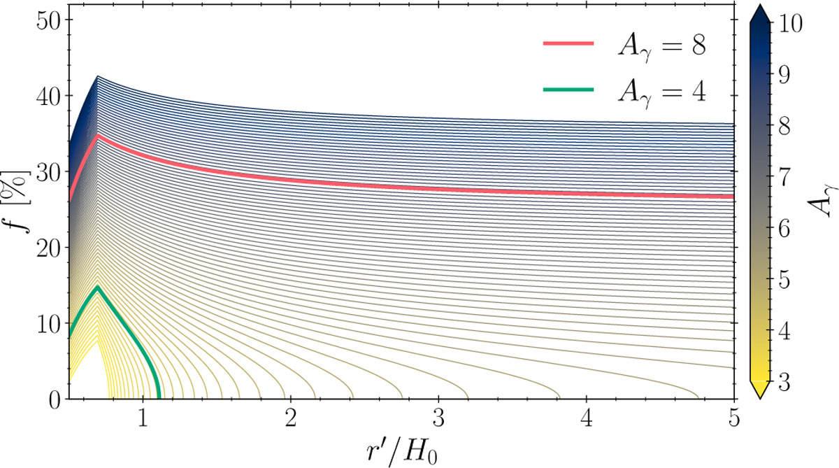
Local kinematic perturbation fraction, f , as a function of distance from the planet in units of local scale height. Each curve represents a different wind strength parameter, Aγ, calculated using Equation (12). The simulation cases for Aγ = 4 and Aγ = 8 are highlighted in green and red, respectively.

Current usage metrics show cumulative count of Article Views (full-text article views including HTML views, PDF and ePub downloads, according to the available data) and Abstracts Views on Vision4Press platform.

Data correspond to usage on the plateform after 2015. The current usage metrics is available 48-96 hours after online publication and is updated daily on week days.

Initial download of the metrics may take a while.