Fig. 2

Download original image
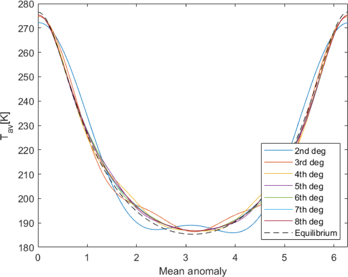
Surface mean temperature Tav (ordinate) for a spherical analogue of (65803) Didymos, computed over one revolution about the Sun (mean anomaly ℓ at the abscissa). The orbital and physical parameters are taken from Table 1, and the coefficients of Tav up to degree nmax = 8 are obtained using our algorithm. The dashed black line shows the local equilibrium temperature Teq given by Eq. (46).
Current usage metrics show cumulative count of Article Views (full-text article views including HTML views, PDF and ePub downloads, according to the available data) and Abstracts Views on Vision4Press platform.
Data correspond to usage on the plateform after 2015. The current usage metrics is available 48-96 hours after online publication and is updated daily on week days.
Initial download of the metrics may take a while.