Fig. 8

Download original image
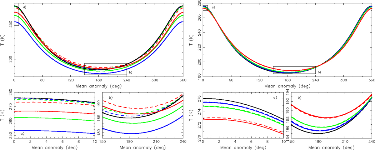
Comparison between our formulation of the mean temperature Tav (degree 8 truncated series; dashed lines) and the mean value of the first (left panels) and fourth power (right panels) of the numerically determined temperature T(θ, ϕ; ℓ) defined by (49) (solid lines). The spherical body on a Didymos heliocentric orbit assumed and the four values of the thermal parameter used are Θ = 0 (black), Θ = 0.033 (blue), Θ = 0.07 (green), and Θ = 0.175 (red).
Current usage metrics show cumulative count of Article Views (full-text article views including HTML views, PDF and ePub downloads, according to the available data) and Abstracts Views on Vision4Press platform.
Data correspond to usage on the plateform after 2015. The current usage metrics is available 48-96 hours after online publication and is updated daily on week days.
Initial download of the metrics may take a while.