Open Access

Fig. 2.

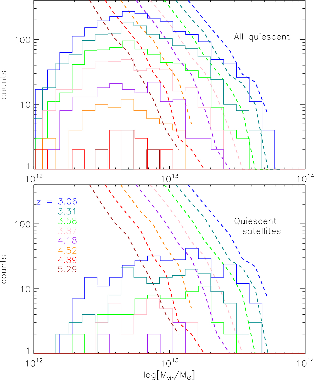
Fig. 2. Refer to the following caption and surrounding text.

Download original image

Halo mass distribution for quiescent model galaxies (solid lines) and the corresponding halo mass function (dashed lines). Different colors correspond to different redshifts (as indicated in the legend in the bottom panel), ranging from ∼3.1 (blue) to ∼5.3 (brown). The top and bottom panels are for all quiescent galaxies and for quiescent satellites only, respectively.

Current usage metrics show cumulative count of Article Views (full-text article views including HTML views, PDF and ePub downloads, according to the available data) and Abstracts Views on Vision4Press platform.

Data correspond to usage on the plateform after 2015. The current usage metrics is available 48-96 hours after online publication and is updated daily on week days.

Initial download of the metrics may take a while.