Open Access

Fig. 7.

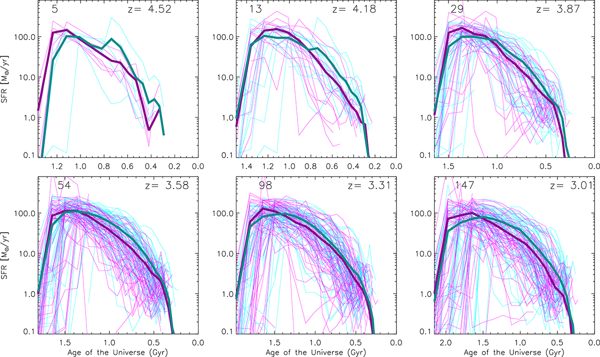
Fig. 7. Refer to the following caption and surrounding text.

Download original image

Star formation histories of quiescent galaxies in the bottom 25 (cyan) and highest 75 (magenta) percentiles of the distribution of n3, considering matched distributions of parent halo mass. Thicker lines show the median star formation histories for each subsample. The numbers of galaxies in each subsample at each snapshot are given in the top left corner. A maximum of 50 individual star formation histories in each subsample are shown to avoid overcrowding the panels.

Current usage metrics show cumulative count of Article Views (full-text article views including HTML views, PDF and ePub downloads, according to the available data) and Abstracts Views on Vision4Press platform.

Data correspond to usage on the plateform after 2015. The current usage metrics is available 48-96 hours after online publication and is updated daily on week days.

Initial download of the metrics may take a while.