Fig. B.1

Download original image
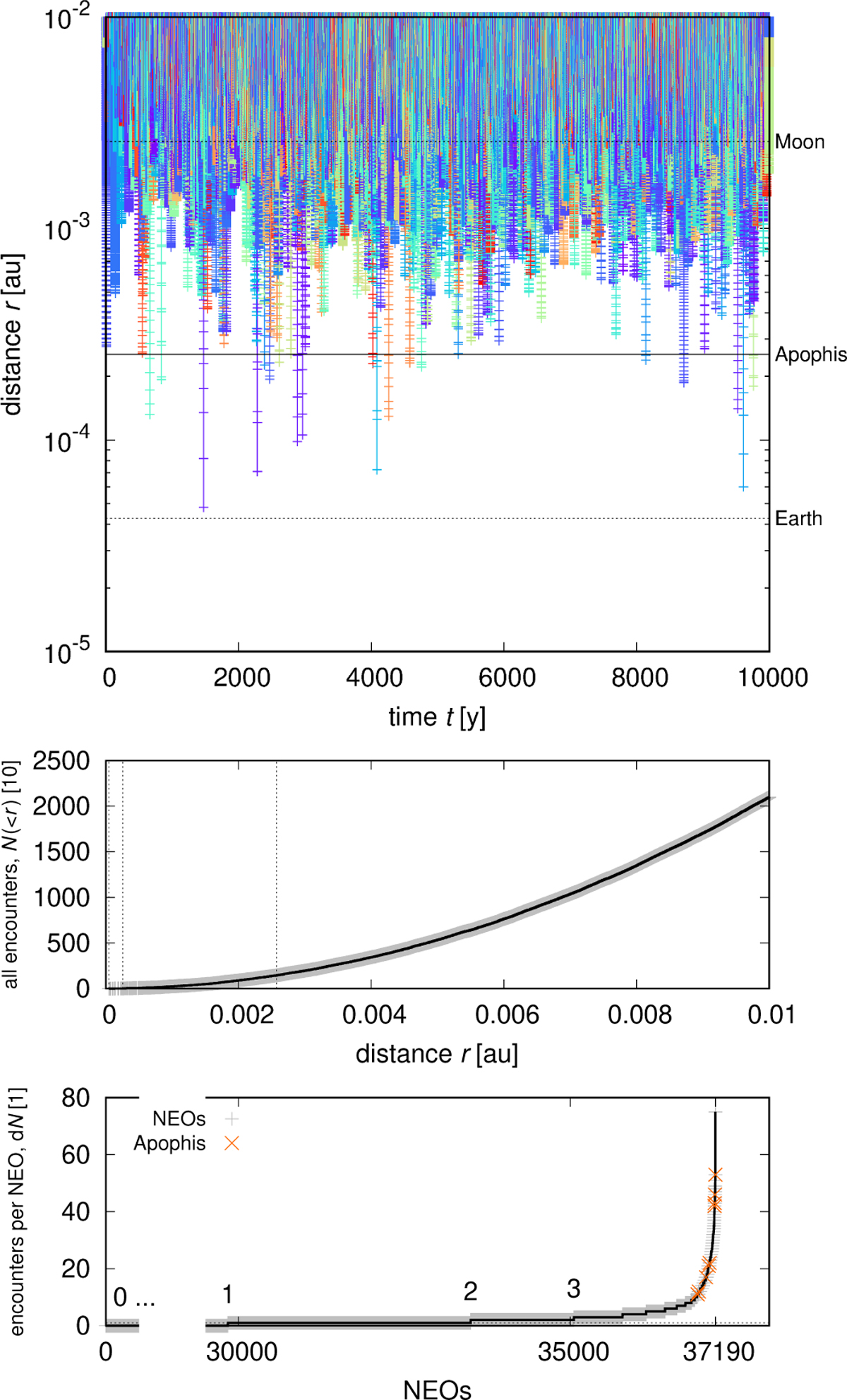
Top: Close encounter distances vs. time computed for 3710 NEOs larger than ~420 m and their clones (due to the Yarkovsky drift). The total number of bodies was 37100. The number of encounters closer than the 2029 Apophis encounter was 21; the corresponding frequency is approximately once per 4800 y. Middle: Cumulative histogram of distances, N(<r). The dependence is parabolic (as πr2). Bottom: Differential histogram of encounters Nenc per NEO. Only 20% of NEOs underwent encounters closer than 0.01 au in the course of 104 y. Specifically, Apophis clones underwent from 11 to 53 encounters and Apophis-like bodies were responsible for half of all encounters.
Current usage metrics show cumulative count of Article Views (full-text article views including HTML views, PDF and ePub downloads, according to the available data) and Abstracts Views on Vision4Press platform.
Data correspond to usage on the plateform after 2015. The current usage metrics is available 48-96 hours after online publication and is updated daily on week days.
Initial download of the metrics may take a while.