Open Access

Fig. C.2.

Fig. C.2. Refer to the following caption and surrounding text.

Download original image

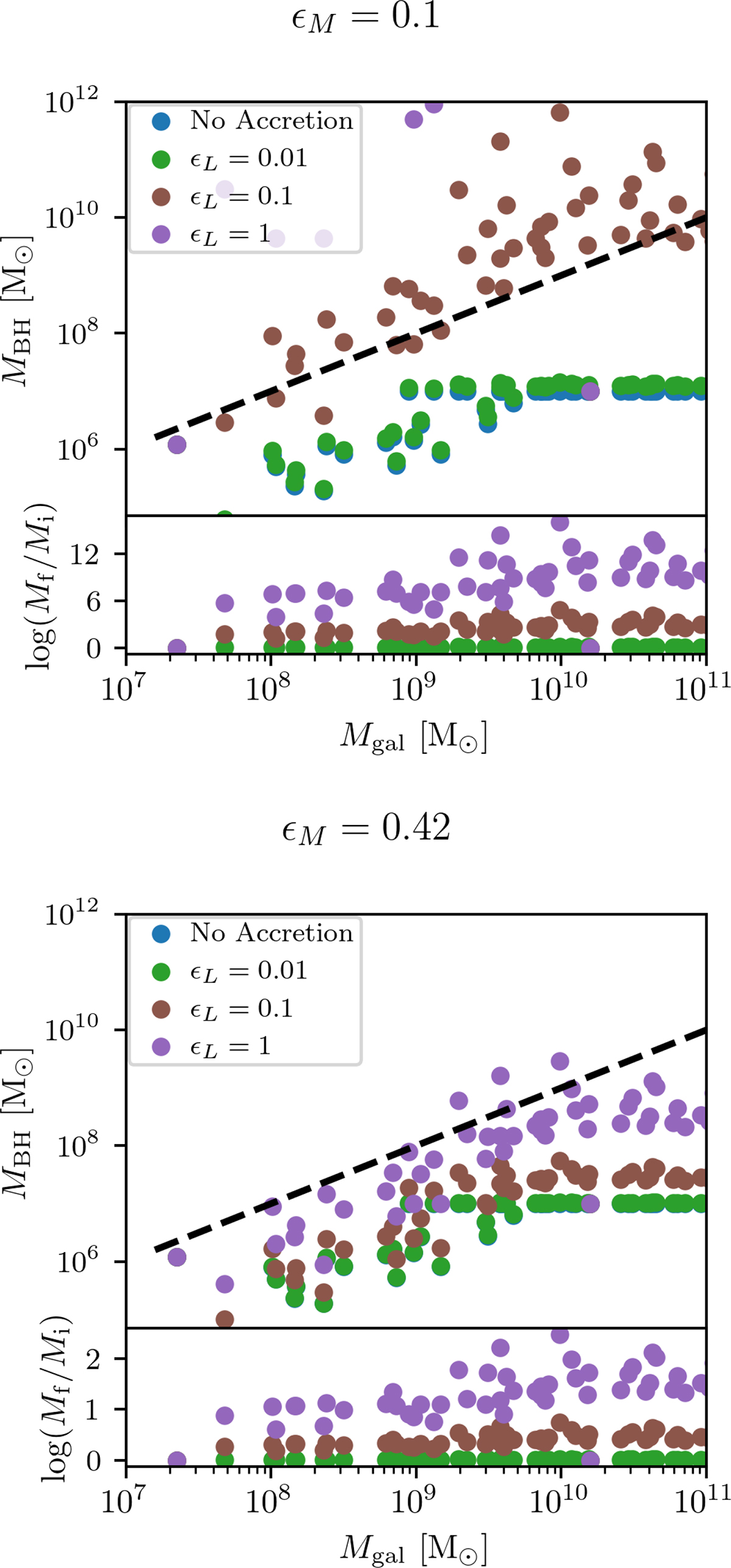
Top panel: BH mass versus host galaxy mass for a fiducial model with α = 0.7 and β = 1.4 assuming ϵM = 0.1. Blue dots show the initial seed masses (No Accretion). Green, brown and purple dots show the final mass after accretion with efficiencies ϵL = 0.01, ϵL = 0.1 and ϵL = 1, respectively. The dashed line shows the MBH/Mgal = 0.1 for reference. We also show the logarithmic ratio of the final (after accretion) mass to the initial mass for the models, quantifying the total BH growth. Bottom panel: Same as the top panel but here we set ϵM = 0.42 assuming that the BH is efficiently radiating.

Current usage metrics show cumulative count of Article Views (full-text article views including HTML views, PDF and ePub downloads, according to the available data) and Abstracts Views on Vision4Press platform.

Data correspond to usage on the plateform after 2015. The current usage metrics is available 48-96 hours after online publication and is updated daily on week days.

Initial download of the metrics may take a while.