Open Access

Fig. 11

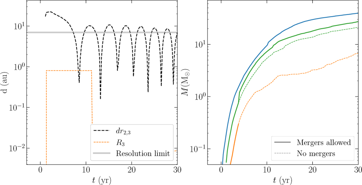
Fig. 11 Refer to the following caption and surrounding text.

Download original image

Left panel : comparison between the radius of the third sink, R3, and the spatial separation of the second and third sink particles, dr2,3 in the J21 = 5000 simulation where sink particle mergers are not allowed. The radius of the second sink is similar to R3, so it was left out for simplicity. The solid gray line shows the resolution limit of the simulation. Right panel : evolution of the protostellar mass in runs with (solid) and without (dashed) sink particle mergers. The epoch of the merger corresponds to the time when the solid and dashed lines diverge. The mass of the third star (orange) is added to that of the second star (green), creating a sudden jump in the stellar mass.

Current usage metrics show cumulative count of Article Views (full-text article views including HTML views, PDF and ePub downloads, according to the available data) and Abstracts Views on Vision4Press platform.

Data correspond to usage on the plateform after 2015. The current usage metrics is available 48-96 hours after online publication and is updated daily on week days.

Initial download of the metrics may take a while.