Open Access

Fig. 3

Fig. 3 Refer to the following caption and surrounding text.

Download original image

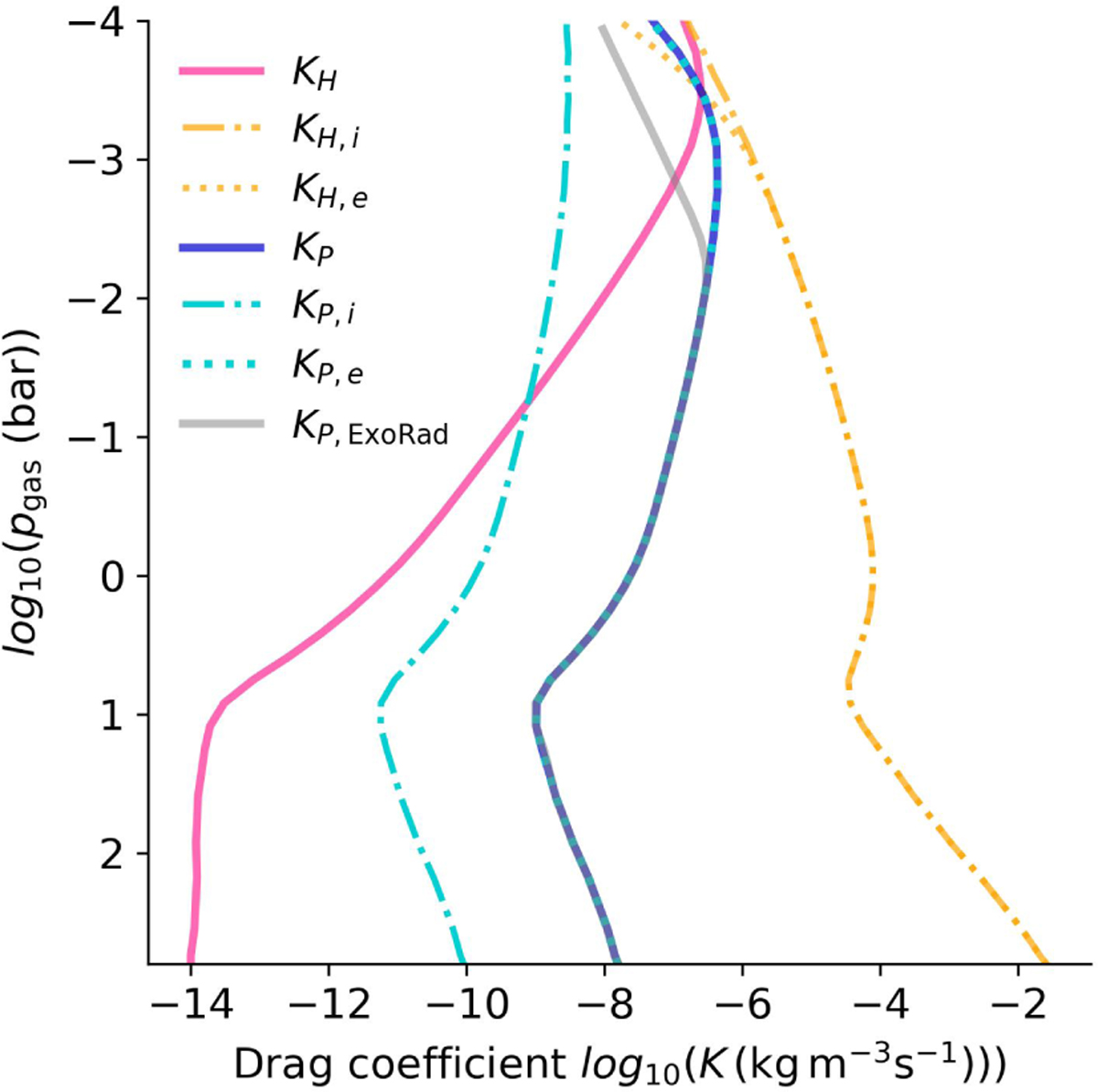
Hall (KH,s) and Pedersen (KP,s) drag coefficients for electrons (s = e) and ions (s = i) averaged over all latitudes and over dayside atmosphere (−90< ϕ ≤ 90). KH = KH,iKH,e and KP = KP,i + KP,e are the total Hall and Pedersen coefficients. The coefficients were calculated using the gas pressure-temperature profile from the ExoRad simulation run of WASP-18 b with anisotropic drag. The gray line shows KP obtained directly from ExoRad. It diverges from the calculated KP (blue line) in the upper atmosphere because the drag timescale in ExoRad is limited to τdrag ≥ 100 s. The same applies for KH from ExoRad (not shown here).

Current usage metrics show cumulative count of Article Views (full-text article views including HTML views, PDF and ePub downloads, according to the available data) and Abstracts Views on Vision4Press platform.

Data correspond to usage on the plateform after 2015. The current usage metrics is available 48-96 hours after online publication and is updated daily on week days.

Initial download of the metrics may take a while.