Open Access

Fig. 2.

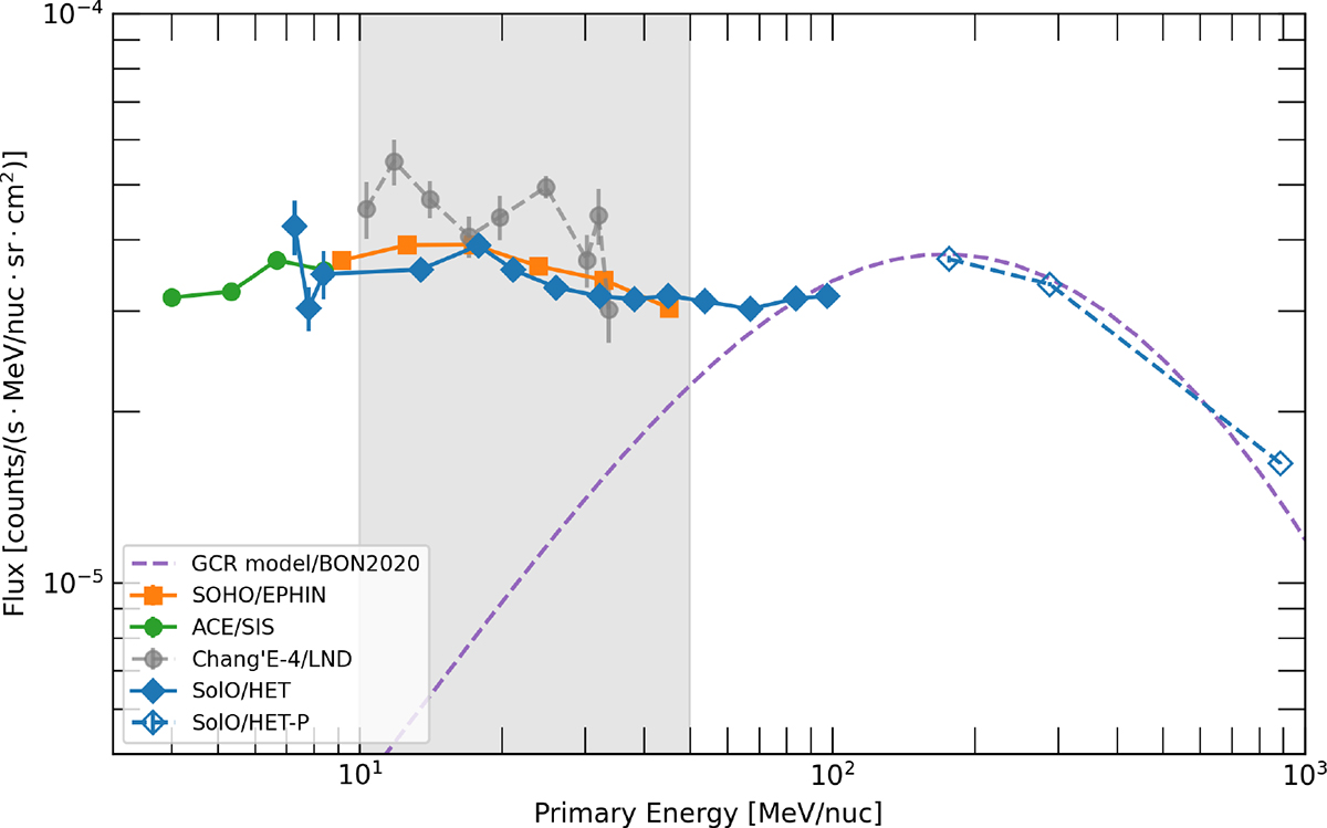
Fig. 2. Refer to the following caption and surrounding text.

Download original image

Quiet-time helium spectra of Solar Orbiter/HET for stopping (filled blue diamonds) and penetrating (empty blue diamonds) particles, of ACE/SIS (green circles), and SOHO/EPHIN (orange squares) at L1, as well as Chang’E-4/LND (grey circles) measured at the lunar surface. The helium spectra were averaged over periods when Solar Orbiter was located between 0.95 and 1 au, as given in Table 1. The GCR spectrum predicted from the BON2020 model (Slaba & Whitman 2020) is given as the dashed line. Error bars indicate the statistical uncertainties.

Current usage metrics show cumulative count of Article Views (full-text article views including HTML views, PDF and ePub downloads, according to the available data) and Abstracts Views on Vision4Press platform.

Data correspond to usage on the plateform after 2015. The current usage metrics is available 48-96 hours after online publication and is updated daily on week days.

Initial download of the metrics may take a while.