Open Access

Fig. 2

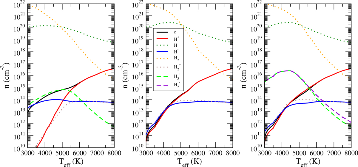
Fig. 2 Refer to the following caption and surrounding text.

Download original image

Photospheric (at the Rosseland mean optical depth, τR = 2/3) abundance of species in the atmosphere of hydrogen white dwarf of log g = 8 as a function of the effective temperature. Different colors and lines represent different species as indicated in the legend insert. The panels show results with (left) and without (middle) H+3 species considered. The right panel shows the result obtained by assuming formation of a hypothetical anionic species (represented by H+2 with the decreased formation energy).

Current usage metrics show cumulative count of Article Views (full-text article views including HTML views, PDF and ePub downloads, according to the available data) and Abstracts Views on Vision4Press platform.

Data correspond to usage on the plateform after 2015. The current usage metrics is available 48-96 hours after online publication and is updated daily on week days.

Initial download of the metrics may take a while.