Open Access

Fig. 7

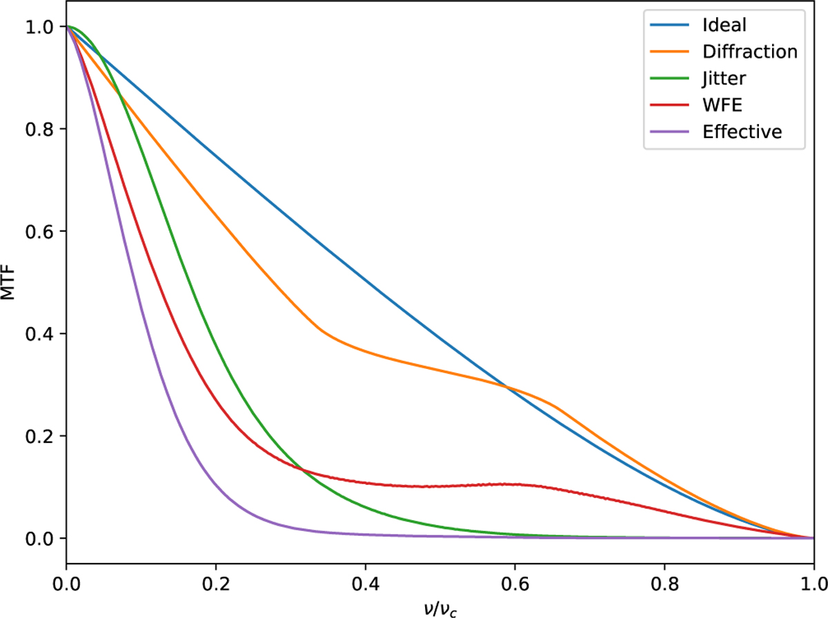
Fig. 7 Refer to the following caption and surrounding text.

Download original image

Radial MTF for different scenarios as a function of the frequency (normalized by the critical frequency of the telescope): an ideal 1-m class critically-sampled and aberration-free telescope with no central obscuration (blue), an aberration-free telescope with the 32.4% central obscuration of SUNRISE III (orange), a telescope affected only by the amount of jitter as the one sensed for the lowest-contrast image of Fig. 6 (green), a telescope affected only by the aberrations sensed through PD (red), and a telescope affected both by jitter and aberrations (violet). Compared to an ideal case, the MTF amplitude decreases when introducing wavefront aberrations and/or jitter. The net effect of these two factors effectively reduces the cut-off frequency of the telescope.

Current usage metrics show cumulative count of Article Views (full-text article views including HTML views, PDF and ePub downloads, according to the available data) and Abstracts Views on Vision4Press platform.

Data correspond to usage on the plateform after 2015. The current usage metrics is available 48-96 hours after online publication and is updated daily on week days.

Initial download of the metrics may take a while.