Open Access

Fig. 5.

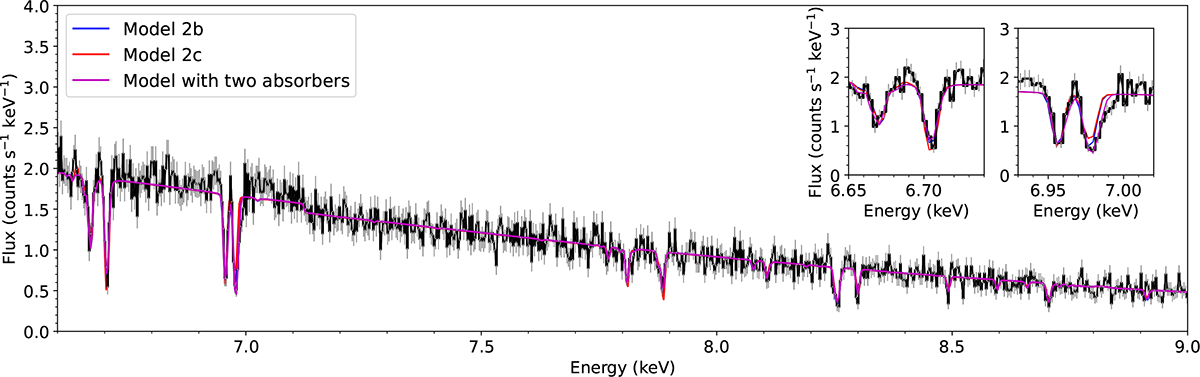
Fig. 5. Refer to the following caption and surrounding text.

Download original image

Spectrum for interval p0 with the model with two absorbers displayed in Table 5 overplotted in magenta for comparison with Models 2b and 2c (which have only one absorber, overplotted in blue and in red), respectively (see Tables 3, 4 and 5 for fitted parameters). The insets show details of the Fe XXV and Fe XXVI Kα regions highlighting the different predictions of the three models for the Fe XXVI spin-orbit doublet ratio.

Current usage metrics show cumulative count of Article Views (full-text article views including HTML views, PDF and ePub downloads, according to the available data) and Abstracts Views on Vision4Press platform.

Data correspond to usage on the plateform after 2015. The current usage metrics is available 48-96 hours after online publication and is updated daily on week days.

Initial download of the metrics may take a while.