Open Access

Fig. 1.

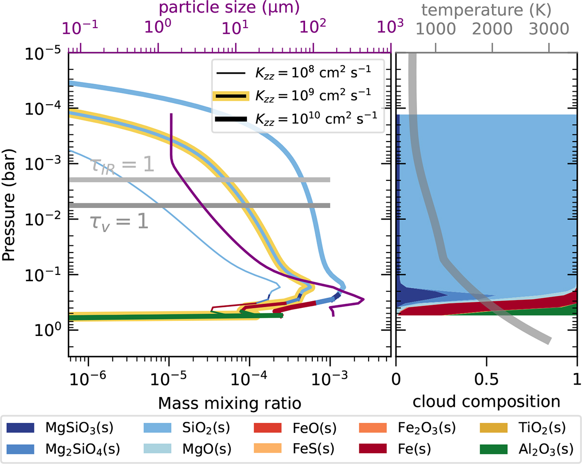
Fig. 1. Refer to the following caption and surrounding text.

Download original image

Self-consistent temperature and cloud profiles resulting from the joint cloud and RT model. Left: Cloud profiles obtained for three Kzz values. The best-fit model has Kzz = 109 cm2 s−1 (the line with the golden highlight), and the corresponding particle size is shown by the purple line. The horizontal gray lines indicate the visible and IR photosphere. Right: Cloud composition by mass fraction of the best-fit model. The gray line shows the atmosphere temperature profile of the best fit.

Current usage metrics show cumulative count of Article Views (full-text article views including HTML views, PDF and ePub downloads, according to the available data) and Abstracts Views on Vision4Press platform.

Data correspond to usage on the plateform after 2015. The current usage metrics is available 48-96 hours after online publication and is updated daily on week days.

Initial download of the metrics may take a while.