Open Access
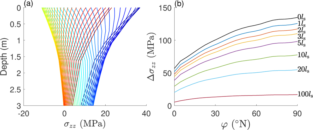
Fig. 9

Download original image
Seasonal stress field for Model 1. (a) Seasonal thermal stress profiles at φ = 0◦ and H = 2ls. Orbital phases begin at θ = 0 with the dark blue line and end at θ = 180◦ with the dark red line. (b) Seasonal thermal stress excursions with different thicknesses of the regolith layer.
Current usage metrics show cumulative count of Article Views (full-text article views including HTML views, PDF and ePub downloads, according to the available data) and Abstracts Views on Vision4Press platform.
Data correspond to usage on the plateform after 2015. The current usage metrics is available 48-96 hours after online publication and is updated daily on week days.
Initial download of the metrics may take a while.