Open Access

Fig. 5.

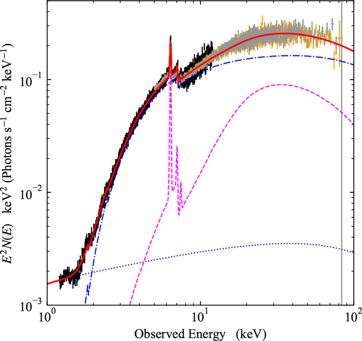
Fig. 5. Refer to the following caption and surrounding text.

Download original image

Best fit broad-band continuum, using combined XRISM-xtend (black crosses) and NuSTAR (orange and grey crosses for FPMA and FPMB respectively).The solid red line shows the total spectral model, with the dotted and dashed lines showing the individual components. These are: the scattered continuum (dotted blue), reflection spectrum (dashed magenta), and the primary continuum (dashed-dotted blue). The plotted NuSTAR data have been corrected by a cross-calibration constant used to account for instrumental differences between XRISM-xtend and NuSTAR. The data have been re-binned slightly for clarity.

Current usage metrics show cumulative count of Article Views (full-text article views including HTML views, PDF and ePub downloads, according to the available data) and Abstracts Views on Vision4Press platform.

Data correspond to usage on the plateform after 2015. The current usage metrics is available 48-96 hours after online publication and is updated daily on week days.

Initial download of the metrics may take a while.