Open Access

Fig. B.1.

Fig. B.1. Refer to the following caption and surrounding text.

Download original image

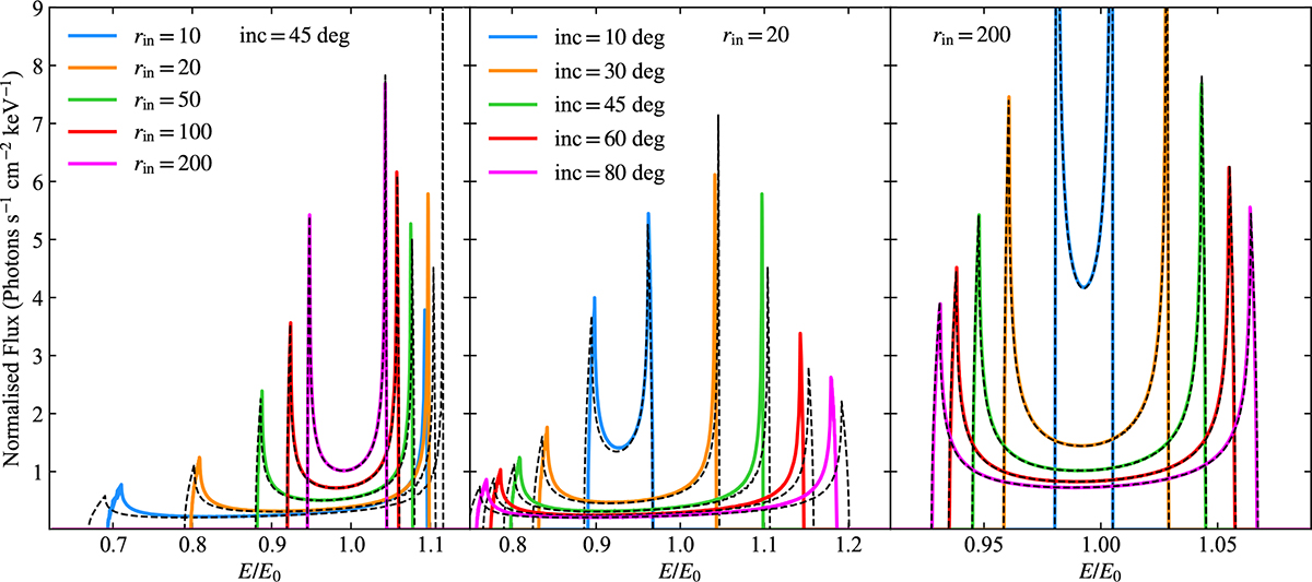
Comparison of line profiles for a Keplerian disc, calculated considering only relativistic Doppler shifts as outlined in section 2.5 (solid coloured lines) and calculated using the DISKLINE model (Fabian et al. 1989) (dashed lines), which includes some corrections expected from the Schwarzchild metric. In all cases these are calculated for a narrow annulus, such that rout = 1.1rin. The left panel shows the profiles while stepping through values of rin, in order to highlight where our approximations break down. For rin ≳ 50 our line profile matches that or DISKLINE well, whereas below this we start to see systematic offsets originating from our choice of metric. The middle and right panels show the profiles while stepping through observed inclination, with rin = 20 and 200 respectively. Again, in the weak field limit, where general relativistic corrections are small, our approximation matches well that of DISKLINE.

Current usage metrics show cumulative count of Article Views (full-text article views including HTML views, PDF and ePub downloads, according to the available data) and Abstracts Views on Vision4Press platform.

Data correspond to usage on the plateform after 2015. The current usage metrics is available 48-96 hours after online publication and is updated daily on week days.

Initial download of the metrics may take a while.