Open Access

Fig. 13.

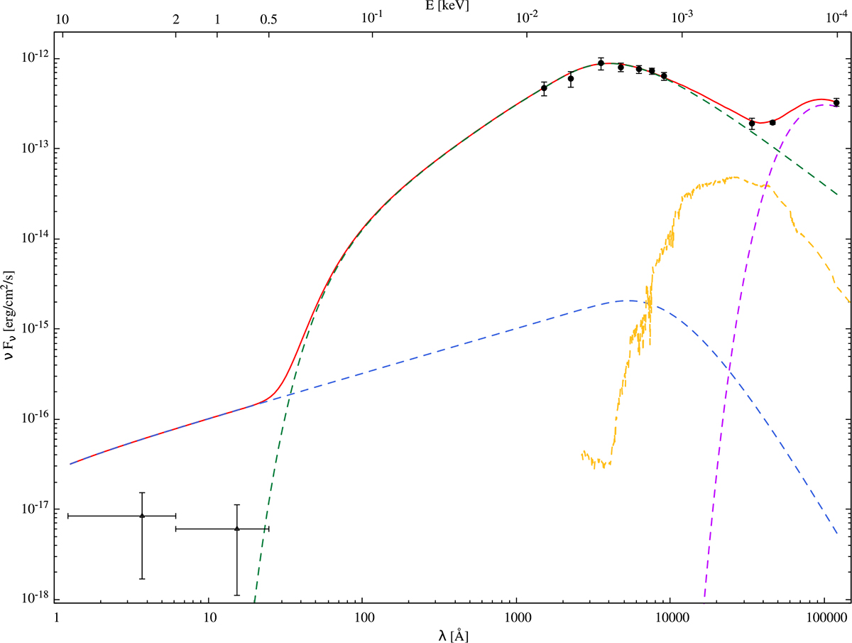
Fig. 13. Refer to the following caption and surrounding text.

Download original image

Broadband SED fit of SDSS J101353 with the primary emission (dashed blue curve) estimated using pexrav and nthcomp in Model 3. As previously, the solid red line represents the total model. The relagn component and the starlight and torus contributions are shown in green, yellow, and violet, respectively. The data are displayed with the black dots.

Current usage metrics show cumulative count of Article Views (full-text article views including HTML views, PDF and ePub downloads, according to the available data) and Abstracts Views on Vision4Press platform.

Data correspond to usage on the plateform after 2015. The current usage metrics is available 48-96 hours after online publication and is updated daily on week days.

Initial download of the metrics may take a while.