Open Access

Fig. 4.

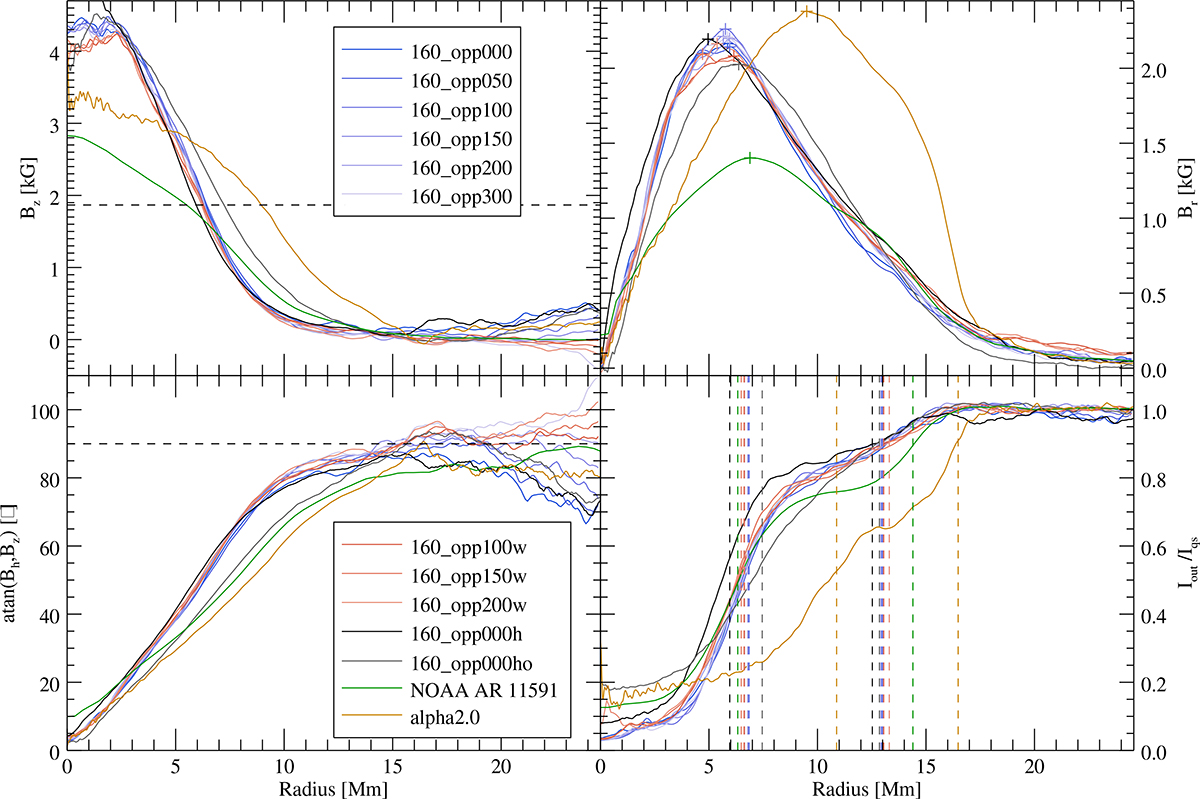
Fig. 4. Refer to the following caption and surrounding text.

Download original image

Azimuthal averages of the vertical magnetic field component, Bz (top left), the radial magnetic field component, Br (top right), the inclination (bottom left), and the intensity, Iout (bottom right), of our more realistic simulations (blue, red, black and grey), and of an observation (green), and an old reference simulation (gold). Horizontal dashed lines refer to Bz = 1867 G, the observed critical value for penumbral-type convection to operate (top left), and to an inclination of 90°, meaning a horizontal field (bottom-left).

Current usage metrics show cumulative count of Article Views (full-text article views including HTML views, PDF and ePub downloads, according to the available data) and Abstracts Views on Vision4Press platform.

Data correspond to usage on the plateform after 2015. The current usage metrics is available 48-96 hours after online publication and is updated daily on week days.

Initial download of the metrics may take a while.