Fig. 3

Download original image
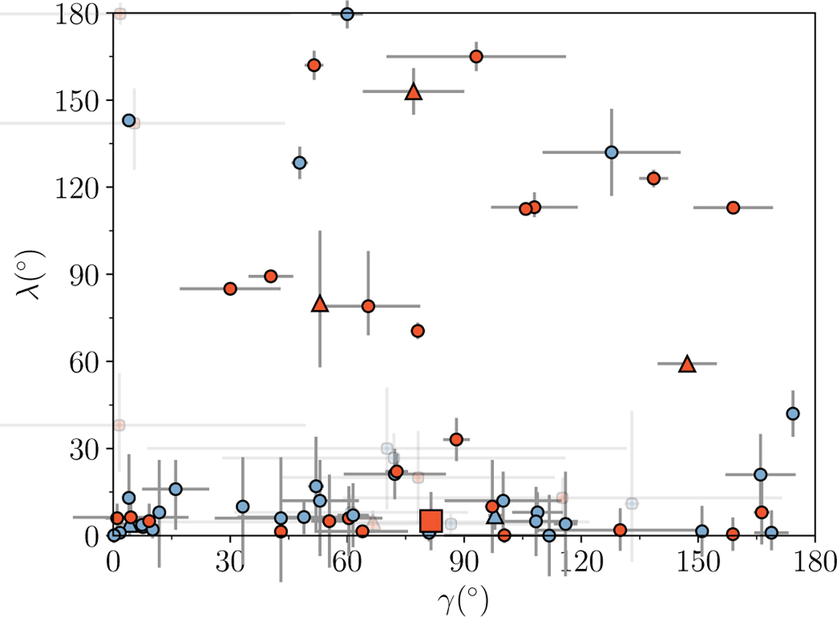
Projected orbit-orbit angle (γ) against the projected obliquity (λ) based on the table by Rice et al. (2024). Markers are coloured according to the effective temperature of the host star with blue (red) denoting stars cooler (hotter) than 6105 K, as found to be appropriate for binary systems by Wang et al. (2026). The triangles demarcate triple star systems, and TOI-13 3 3 is indicated with a square. As in Rice et al. (2024) systems with either σλ> 25° or σγ > 25° are shown with low opacity.
Current usage metrics show cumulative count of Article Views (full-text article views including HTML views, PDF and ePub downloads, according to the available data) and Abstracts Views on Vision4Press platform.
Data correspond to usage on the plateform after 2015. The current usage metrics is available 48-96 hours after online publication and is updated daily on week days.
Initial download of the metrics may take a while.