Open Access
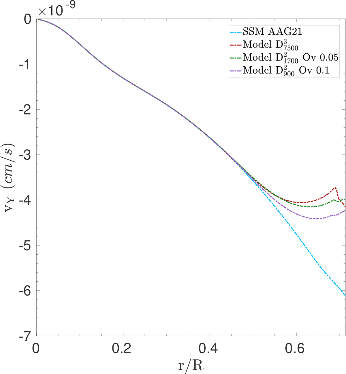
Fig. 1.

Download original image
Diffusion velocity of helium for as a function of normalised radius in the radiative zone of solar models (a SSM in light blue and models including macroscopic mixing and/or overshooting at the BCZ in red, green, and purple).
Current usage metrics show cumulative count of Article Views (full-text article views including HTML views, PDF and ePub downloads, according to the available data) and Abstracts Views on Vision4Press platform.
Data correspond to usage on the plateform after 2015. The current usage metrics is available 48-96 hours after online publication and is updated daily on week days.
Initial download of the metrics may take a while.