Open Access

Fig. 6.

Fig. 6. Refer to the following caption and surrounding text.

Download original image

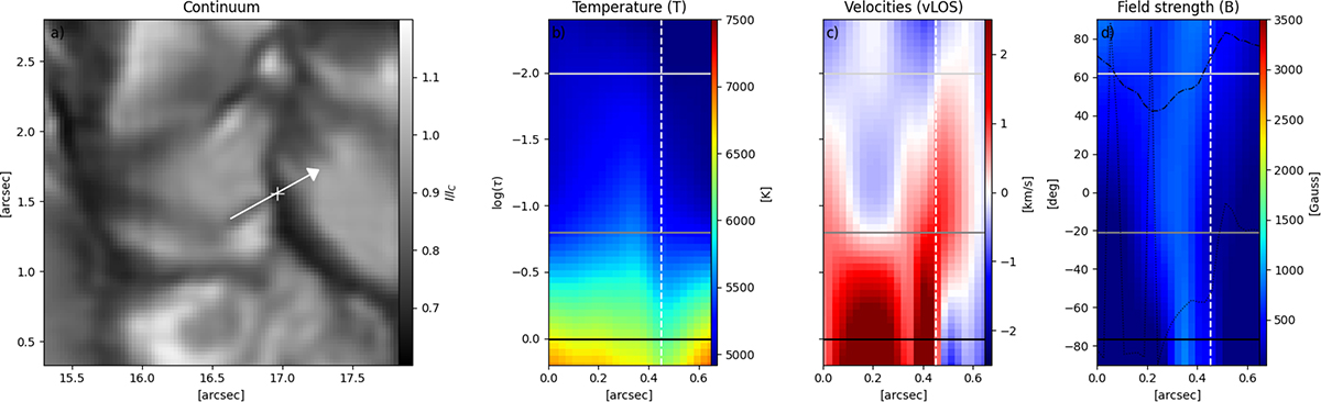
Same as Figure 3 but for a dark striation perpendicular to a dark intergranular lane. Here, the plus in panel (a) and the corresponding white dashed vertical lines in panels (b–d) mark the center of the IGL, based on the intensity image. The location of the striation in the inverted FOV is indicated with a white line marked “IGL” in Figure 1.

Current usage metrics show cumulative count of Article Views (full-text article views including HTML views, PDF and ePub downloads, according to the available data) and Abstracts Views on Vision4Press platform.

Data correspond to usage on the plateform after 2015. The current usage metrics is available 48-96 hours after online publication and is updated daily on week days.

Initial download of the metrics may take a while.