Open Access

Fig. 8

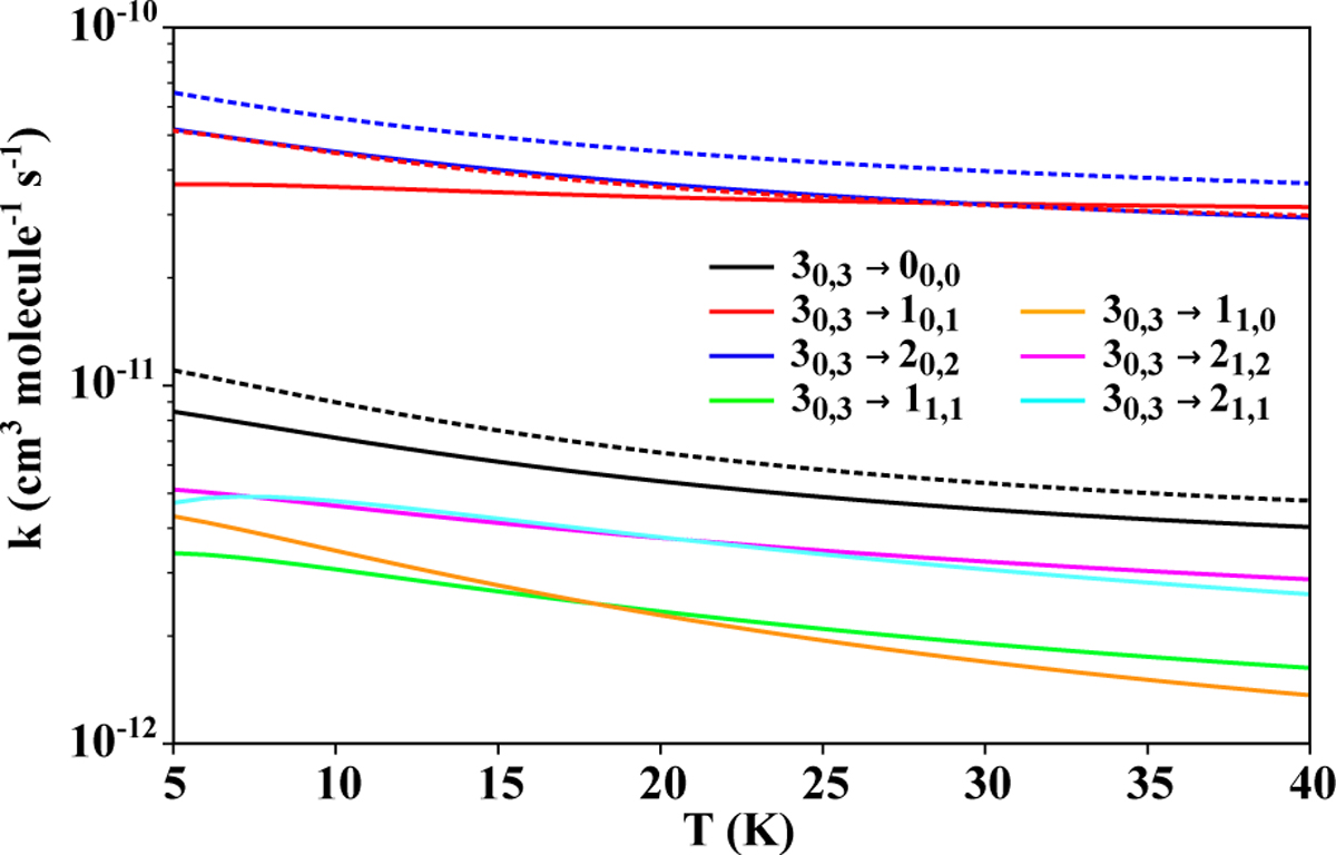
Fig. 8 Refer to the following caption and surrounding text.

Download original image

Rotational de-excitation rate coefficients from the initial state 30,3, for all the allowed rotational transitions of D2CO (dashed line) and HDCO (solid line) induced by collisions with He, plotted as a function of the temperature.

Current usage metrics show cumulative count of Article Views (full-text article views including HTML views, PDF and ePub downloads, according to the available data) and Abstracts Views on Vision4Press platform.

Data correspond to usage on the plateform after 2015. The current usage metrics is available 48-96 hours after online publication and is updated daily on week days.

Initial download of the metrics may take a while.