Fig. A.2.

Download original image
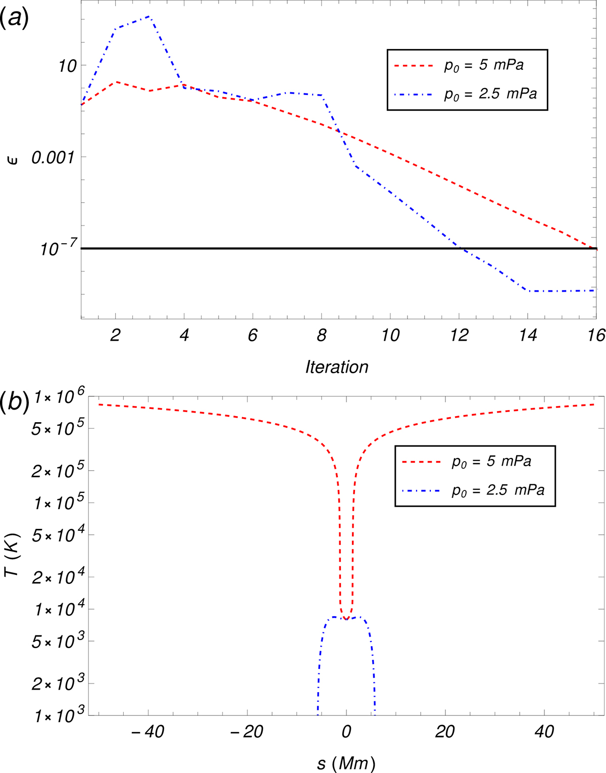
(a) Comparison of the convergence of the parameter ε from iteration to iteration for two cases with different central pressures. The horizontal line denotes the convergence threshold of ε = 10−7. (b) Converged temperature profiles for the same cases. In both cases, the model parameters are T0 = 8000 K, B0 = 10 G, and ϕ = 88°.
Current usage metrics show cumulative count of Article Views (full-text article views including HTML views, PDF and ePub downloads, according to the available data) and Abstracts Views on Vision4Press platform.
Data correspond to usage on the plateform after 2015. The current usage metrics is available 48-96 hours after online publication and is updated daily on week days.
Initial download of the metrics may take a while.