Fig. 4.

Download original image
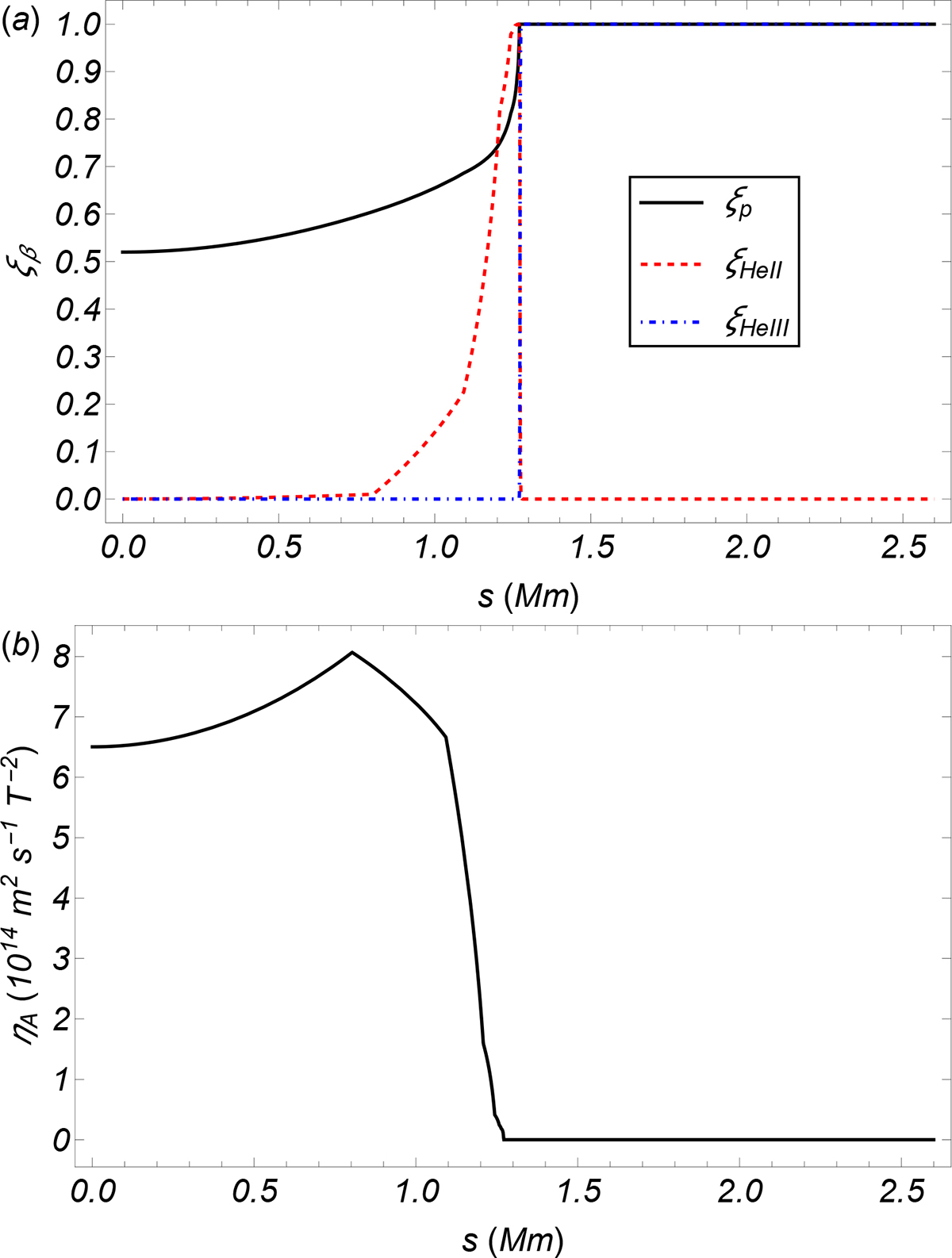
Close-up views of some quantities of the reference model around the cold thread and the PCTR: a) Mass fractions of protons (ionized hydrogen), singly ionized helium, and doubly ionized helium. b) Ambipolar diffusion coefficient. Only half the domain with s ≥ 0 is displayed due to the symmetry of the profiles. The discontinuous derivatives of the ambipolar diffusion coefficient are caused by the first-order interpolation used to implement the hydrogen ionization degree from the tabulated values in Heinzel et al. (2015).
Current usage metrics show cumulative count of Article Views (full-text article views including HTML views, PDF and ePub downloads, according to the available data) and Abstracts Views on Vision4Press platform.
Data correspond to usage on the plateform after 2015. The current usage metrics is available 48-96 hours after online publication and is updated daily on week days.
Initial download of the metrics may take a while.