| Issue |
A&A
Volume 495, Number 3, March I 2009
|
|
|---|---|---|
| Page(s) | 775 - 794 | |
| Section | Extragalactic astronomy | |
| DOI | https://doi.org/10.1051/0004-6361:200811084 | |
| Published online | 14 January 2009 | |
Online Material
Appendix A: Line-strength distribution
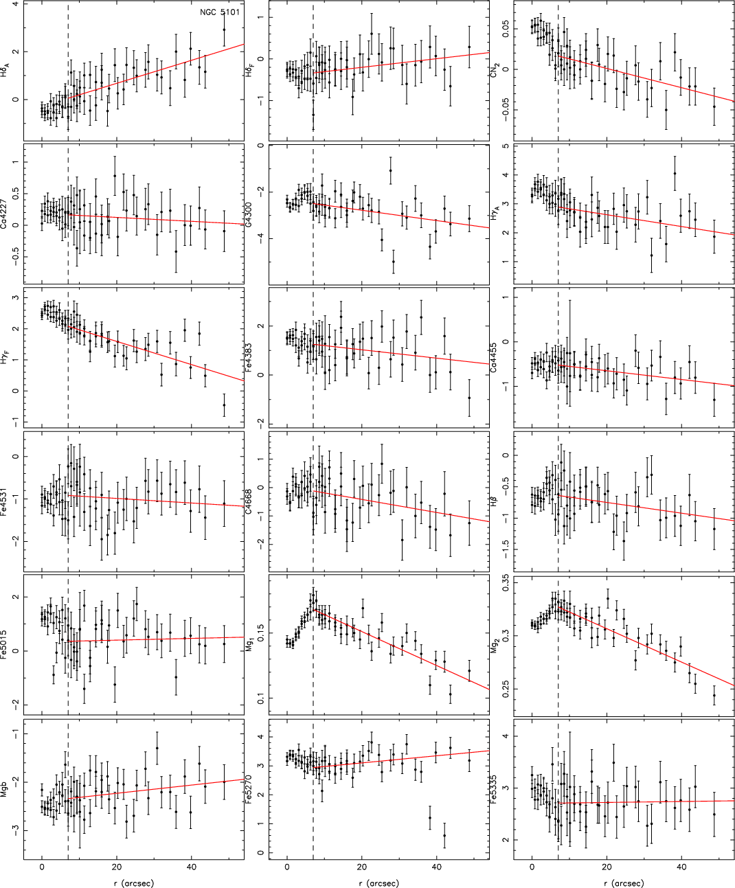
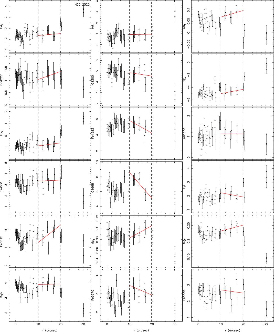
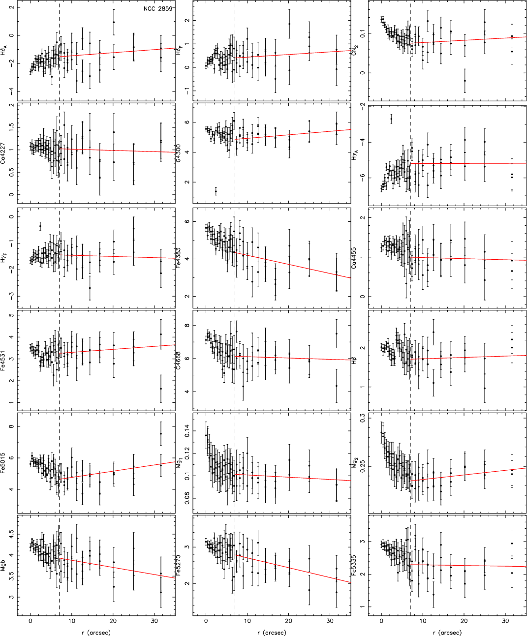
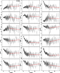
Figure A.1 shows the line-strength gradients in the bar region for all the galaxies.
![]() |
Figure A.1: Line-strength distribution in the bar region for all the galaxies. |
| Open with DEXTER | |
![]() |
Figure A.1: continued. |
| Open with DEXTER | |
![]() |
Figure A.1: continued. |
| Open with DEXTER | |
![]() |
Figure A.1: continued. |
| Open with DEXTER | |
![]() |
Figure A.1: continued. |
| Open with DEXTER | |
![]() |
Figure A.1: continued. |
| Open with DEXTER | |
![]() |
Figure A.1: continued. |
| Open with DEXTER | |
![]() |
Figure A.1: continued. |
| Open with DEXTER | |
![]() |
Figure A.1: continued. |
| Open with DEXTER | |
![]() |
Figure A.1: continued. |
| Open with DEXTER | |
![]() |
Figure A.1: continued. |
| Open with DEXTER | |
![]() |
Figure A.1: continued. |
| Open with DEXTER | |
![]() |
Figure A.1: continued. |
| Open with DEXTER | |
![]() |
Figure A.1: continued. |
| Open with DEXTER | |
![]() |
Figure A.1: continued. |
| Open with DEXTER | |
![]() |
Figure A.1: continued. |
| Open with DEXTER | |
![]() |
Figure A.1: continued. |
| Open with DEXTER | |
![]() |
Figure A.1: continued. |
| Open with DEXTER | |
![]() |
Figure A.1: continued. |
| Open with DEXTER | |
![]() |
Figure A.1: continued. |
| Open with DEXTER | |
Appendix B: Calibration to the model spectrophotometric systems
The original Lick/IDS spectra were not flux-calibrated by means of a flux-standard stars but normalised to a quartz-iodide tungsten lamp. The resulting continuum shape cannot be reproduced and causes small offsets for the indices with a broad wavelength range. Furthermore, the wavelength dependent resolution of the Lick spectrograph is also difficult to reproduce, which causes differences in other indices with larger dependence on resolution. In order to compare our measured indices with models based on this library we have to calculate these offsets. To calculate them, we observed 11 and 35 stars in common with the Lick/IDS library. By comparing the indices measured in our stars with those in the Lick/IDS database for the same objects, we derived mean offsets for all the indices observed. Figure B.1 shows this comparison. We did not find any systematic difference between the offset obtained with the stars of the first and second run and, therefore, we calculated just one offset for the two runs. The final offsets are listed in Table B.1
![]() |
Figure B.1: Comparison of the indices measured in the stars in common between this work and the Lick/IDS library. |
| Open with DEXTER | |
Table B.1: Mean offsets measured in the stars in common between our observing runs and MILES (first column) and Lick/IDS (second column).
Appendix C: Stellar population fits
![]() |
Figure C.1: Deviations from best fit values for data compared to the models of TMB03. The indices that have been used for the fit are represented with filled symbols. |
| Open with DEXTER | |
Current usage metrics show cumulative count of Article Views (full-text article views including HTML views, PDF and ePub downloads, according to the available data) and Abstracts Views on Vision4Press platform.
Data correspond to usage on the plateform after 2015. The current usage metrics is available 48-96 hours after online publication and is updated daily on week days.
Initial download of the metrics may take a while.
![\begin{figure}
\par\mbox{\resizebox{6cm}{!}{\includegraphics[angle=-90]{1084fi73...
...ps}}\resizebox{6cm}{!}{\includegraphics[angle=-90]{1084fi90.ps}} }\end{figure}](/articles/aa/olm/2009/09/aa11084-08/Timg144.gif)
![\begin{figure}\addtocounter{figure}{-1}
\mbox{\resizebox{6cm}{!}{\includegraphic...
...ps}}\resizebox{6cm}{!}{\includegraphics[angle=-90]{1084f108.ps}} }\end{figure}](/articles/aa/olm/2009/09/aa11084-08/Timg145.gif)
![\begin{figure}\addtocounter{figure}{-1}
\mbox{\resizebox{6cm}{!}{\includegraphic...
... }
\par\resizebox{6cm}{!}{\includegraphics[angle=-90]{1084f121.ps}}
\end{figure}](/articles/aa/olm/2009/09/aa11084-08/Timg146.gif)
![\begin{figure}\addtocounter{figure}{-1}
\mbox{\resizebox{6cm}{!}{\includegraphic...
...ps}}\resizebox{6cm}{!}{\includegraphics[angle=-90]{1084f139.ps}} }\end{figure}](/articles/aa/olm/2009/09/aa11084-08/Timg147.gif)
![\begin{figure}\addtocounter{figure}{-1}
\mbox{\resizebox{6cm}{!}{\includegraphic...
...ps}}\resizebox{6cm}{!}{\includegraphics[angle=-90]{1084f157.ps}} }\end{figure}](/articles/aa/olm/2009/09/aa11084-08/Timg148.gif)
![\begin{figure}\addtocounter{figure}{-1}
\mbox{\resizebox{6cm}{!}{\includegraphic...
...ps}}\resizebox{6cm}{!}{\includegraphics[angle=-90]{1084f175.ps}} }\end{figure}](/articles/aa/olm/2009/09/aa11084-08/Timg149.gif)
![\begin{figure}\addtocounter{figure}{-1}
\mbox{\resizebox{6cm}{!}{\includegraphic...
...ps}}\resizebox{6cm}{!}{\includegraphics[angle=-90]{1084f193.ps}} }\end{figure}](/articles/aa/olm/2009/09/aa11084-08/Timg150.gif)
![\begin{figure}\addtocounter{figure}{-1}
\mbox{\resizebox{6cm}{!}{\includegraphic...
...ps}}\resizebox{6cm}{!}{\includegraphics[angle=-90]{1084f211.ps}} }\end{figure}](/articles/aa/olm/2009/09/aa11084-08/Timg151.gif)
![\begin{figure}\addtocounter{figure}{-1}
\mbox{\resizebox{6cm}{!}{\includegraphic...
...ps}}\resizebox{6cm}{!}{\includegraphics[angle=-90]{1084f224.ps}} }\end{figure}](/articles/aa/olm/2009/09/aa11084-08/Timg152.gif)
![\begin{figure}\addtocounter{figure}{-1}
\mbox{\resizebox{6cm}{!}{\includegraphic...
...\resizebox{6cm}{!}{\includegraphics[angle=-90]{1084f242.ps}} }
\par
\end{figure}](/articles/aa/olm/2009/09/aa11084-08/Timg153.gif)
![\begin{figure}\addtocounter{figure}{-1}
\mbox{\resizebox{6cm}{!}{\includegraphic...
...\resizebox{6cm}{!}{\includegraphics[angle=-90]{1084f260.ps}} }
\par
\end{figure}](/articles/aa/olm/2009/09/aa11084-08/Timg154.gif)
![\begin{figure}\addtocounter{figure}{-1}
\mbox{\resizebox{6cm}{!}{\includegraphic...
... }
\par\resizebox{6cm}{!}{\includegraphics[angle=-90]{1084f273.ps}}
\end{figure}](/articles/aa/olm/2009/09/aa11084-08/Timg155.gif)
![\begin{figure}\addtocounter{figure}{-1}
\mbox{\resizebox{6cm}{!}{\includegraphic...
...ps}}\resizebox{6cm}{!}{\includegraphics[angle=-90]{1084f291.ps}} }\end{figure}](/articles/aa/olm/2009/09/aa11084-08/Timg156.gif)
![\begin{figure}\addtocounter{figure}{-1}
\mbox{\resizebox{6cm}{!}{\includegraphic...
...\resizebox{6cm}{!}{\includegraphics[angle=-90]{1084f309.ps}} }
\par
\end{figure}](/articles/aa/olm/2009/09/aa11084-08/Timg157.gif)
![\begin{figure}\addtocounter{figure}{-1}
\mbox{\resizebox{6cm}{!}{\includegraphic...
...\resizebox{6cm}{!}{\includegraphics[angle=-90]{1084f327.ps}} }
\par
\end{figure}](/articles/aa/olm/2009/09/aa11084-08/Timg158.gif)
![\begin{figure}\addtocounter{figure}{-1}
\mbox{\resizebox{6cm}{!}{\includegraphic...
...\resizebox{6cm}{!}{\includegraphics[angle=-90]{1084f345.ps}} }
\par
\end{figure}](/articles/aa/olm/2009/09/aa11084-08/Timg159.gif)
![\begin{figure}\addtocounter{figure}{-1}
\mbox{\resizebox{6cm}{!}{\includegraphic...
...ps}}\resizebox{6cm}{!}{\includegraphics[angle=-90]{1084f363.ps}} }\end{figure}](/articles/aa/olm/2009/09/aa11084-08/Timg160.gif)
![\begin{figure}\addtocounter{figure}{-1}
\mbox{\resizebox{6cm}{!}{\includegraphic...
...\resizebox{6cm}{!}{\includegraphics[angle=-90]{1084f381.ps}} }
\par
\end{figure}](/articles/aa/olm/2009/09/aa11084-08/Timg161.gif)
![\begin{figure}\addtocounter{figure}{-1}
\mbox{\resizebox{6cm}{!}{\includegraphic...
...ps}}\resizebox{6cm}{!}{\includegraphics[angle=-90]{1084f399.ps}} }\end{figure}](/articles/aa/olm/2009/09/aa11084-08/Timg162.gif)
![\begin{figure}\addtocounter{figure}{-1}
\mbox{\resizebox{6cm}{!}{\includegraphic...
...ps}}\resizebox{6cm}{!}{\includegraphics[angle=-90]{1084f417.ps}} }\end{figure}](/articles/aa/olm/2009/09/aa11084-08/Timg163.gif)
![\begin{figure}
\mbox{\resizebox{3.5cm}{!}{\includegraphics[angle=-90]{1084f418.p...
...}
\resizebox{3.5cm}{!}{\includegraphics[angle=-90]{1084f435.ps}} }\end{figure}](/articles/aa/olm/2009/09/aa11084-08/Timg164.gif)
![\begin{figure}
\par\resizebox{3.5cm}{!}{\includegraphics[angle=-90]{1084f436.ps}...
...3.5cm}{!}{\includegraphics[angle=-90]{1084f450.ps}}\hspace*{3.7cm}\end{figure}](/articles/aa/olm/2009/09/aa11084-08/Timg167.gif)