Issue |
A&A
Volume 501, Number 1, July I 2009
|
|
---|---|---|
Page(s) | 61 - 73 | |
Section | Cosmology (including clusters of galaxies) | |
DOI | https://doi.org/10.1051/0004-6361/200810878 | |
Published online | 05 May 2009 |
Online Material
Appendix A: Fit of the deprojected gas density profiles
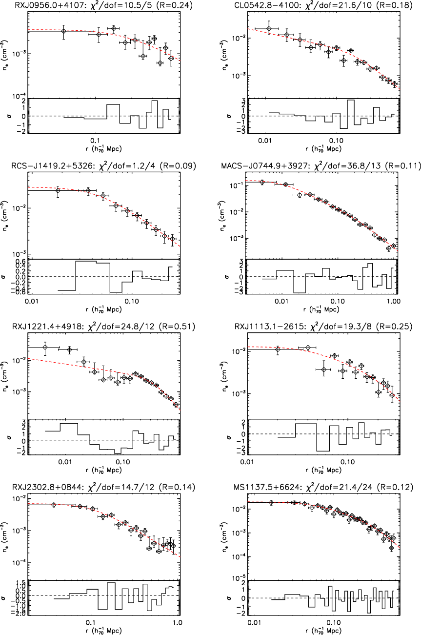
We show the electron density profiles, obtained from the deprojection of the surface brightness, of the objects in our high-z sample. We overplot the best-fitted function form in Eq. (5) fitted over the radial range

![]() |
Figure A.1:
Plots of the deprojected electron density profiles with the
best-fit model in Eq. (5) overplotted and the residuals
|
Open with DEXTER |
![]() |
Figure A.1: continued. |
Open with DEXTER |
![]() |
Figure A.1: continued. |
Open with DEXTER |
![]() |
Figure A.1: continued. |
Open with DEXTER |
![]() |
Figure A.1: continued. |
Open with DEXTER |
![]() |
Figure A.1: continued. |
Open with DEXTER |
![]() |
Figure A.1: continued. |
Open with DEXTER |
Current usage metrics show cumulative count of Article Views (full-text article views including HTML views, PDF and ePub downloads, according to the available data) and Abstracts Views on Vision4Press platform.
Data correspond to usage on the plateform after 2015. The current usage metrics is available 48-96 hours after online publication and is updated daily on week days.
Initial download of the metrics may take a while.