| Issue |
A&A
Volume 501, Number 1, July I 2009
|
|
|---|---|---|
| Page(s) | 61 - 73 | |
| Section | Cosmology (including clusters of galaxies) | |
| DOI | https://doi.org/10.1051/0004-6361/200810878 | |
| Published online | 05 May 2009 | |
The cluster gas mass fraction as a cosmological probe: a revised study![[*]](/icons/foot_motif.png)
S. Ettori1,2 - A. Morandi3,4 - P. Tozzi5,6 - I. Balestra7 - S. Borgani5,6,8 - P. Rosati9 - L. Lovisari3,10 - F. Terenziani3
1 - INAF, Osservatorio Astronomico di Bologna, via Ranzani 1, 40127 Bologna, Italy
2 - INFN, Sezione di Bologna, viale Berti Pichat 6/2, 40127 Bologna, Italy
3 - Dipartimento di Astronomia, Università di Bologna, via Ranzani 1, 40127 Bologna, Italy
4 - Dark Cosmology Centre, Niels Bohr Institute, University of Copenhagen, Juliane Maries Vej 30, 2100 Copenhagen, Denmark
5 - INAF, Osservatorio Astronomico di Trieste, via G.B. Tiepolo 11, 34131 Trieste, Italy
6 - INFN, Sezione di Trieste, 34100 Trieste, Italy
7 - MPE, Karl-Schwarzschild-Str. 2, 85741 Garching, Germany
8 - Dipartimento di Astronomia, Università di Trieste, via Tiepolo 11, 34131 Trieste, Italy
9 - ESO, Karl-Schwarzschild-Str. 2, 85748 Garching, Germany
10 - Institut für Astro- und Teilchenphysik, Universität Innsbruck, Technikerstrasse 25,
6020 Innsbruck, Austria
Received 29 August 2008 / Accepted 28 March 2009
Abstract
Context. We present the analysis of the baryonic content of 52 X-ray luminous galaxy clusters observed with Chandra in the redshift range 0.3-1.273.
Aims. Our study aims at resolving the gas mass fraction in these objects to place constraints on the cosmological parameters
,
and the ratio between the pressure and density of the dark energy, w.
Methods. We deproject the X-ray surface brightness profiles to recover the gas mass profiles and fit a single thermal component to the spectrum extracted from a region around the cluster that maximizes the signal-to-noise ratios in the observation. The measured values of the gas temperature are used to evaluate the temperature profile with a given functional form and to estimate the total gravitating mass in combination with the gas density profiles. These measured quantities are then used to statistically estimate the gas fraction and the fraction of mass in stars. By assuming that galaxy clusters are representative of the cosmic baryon budget, the distribution of the cluster baryon fraction in the hottest (
keV) systems as a function of redshift is used to constrain the cosmological parameters. We discuss how our constraints are affected by several systematic effects, namely the isothermality, the assumed baryon fraction in stars, the depletion parameter and the sample selection.
Results. By using only the cluster baryon fraction as a proxy for the cosmological parameters, we obtain that
is very well constrained at the value of 0.35 with a relative statistical uncertainty of 11% (1
level; w=-1) and a further systematic error of about (-6,+7)%. On the other hand, constraints on
(without the prior of flat geometry) and w (using the prior of flat geometry) are definitely weaker due to the presence of greater statistical and systematic uncertainties (of the order of 40 per cent on
and greater than 50 per cent on w). If the WMAP 5-year best-fit results are assumed to fix the cosmological parameters, we limit the contributions expected from non-thermal pressure support and ICM clumpiness to be lower than about 10 per cent, also leaving room to accommodate baryons not accounted for either in the X-ray emitting plasma or in stars of the order of 18 per cent of the total cluster baryon budget. This value is lowered to zero for a no-flat Universe with
.
Key words: galaxies: clusters: general - galaxies: fundamental parameters - intergalactic medium - X-rays: galaxies: clusters - cosmology: observations - dark matter
1 Introduction
Several tests have been suggested to constrain the geometry
and the relative amounts of the matter and energy constituents of the
Universe (see Peebles & Ratra 2003 and references
therein). A method that is robust and complementary to others is
obtained using the gas mass fraction,
,
as inferred from X-ray observations of clusters of galaxies. In this work, we consider
two independent methods for our purpose: (i) we compare the relative amount of baryons with respect to the total mass observed in galaxy clusters to the cosmic baryon fraction
to provide a direct constraint on
(this method was originally adopted by White et al. 1993 to show the limitation of the standard cold dark matter scenario in an Einstein-de Sitter Universe); (ii) we limit the parameters that describe the geometry of the universe by assuming that the gas fraction is constant
in time, as first suggested by Sasaki (1996).
Starting from these pioneering works, many studies have followed this approach
to constrain the cosmological parameters (White & Fabian 1995; David
et al. 1995; Ettori & Fabian 1998; Rines et al. 1999; Roussel et al. 2000; Allen et al. 2002; Ettori et al. 2003; Castillo-Morales & Schindler 2003; Sadat et al. 2005; Allen et al. 2008). We present here a revised and updated version of the work
discussed in Ettori et al. (2003, Paper I). The main
differences with respect to Paper I are the following: (1) the present dataset
contains 60 objects that spans homogeneously the redshift range
between 0.06 and 1.27, whereas in the previous analysis 17 objects
were selected, 9 at
and 8 at z>0.7; (2) several
assumptions on, e.g., the star mass fraction and the depletion
parameter are tested against different measurements from observations
and numerical simulations; (3) a more extensive analysis is performed
to assess the systematics that affect our results on the constraints
of the cosmological parameters.
The outline of our work is the following. In Sect. 2, we describe
the cosmological framework that allows us to formulate the cosmological dependence of the cluster gas mass fraction. In Sect. 3, the dataset is presented and the physical quantities under examination are computed. The method based on using the gas mass fraction as
a cosmological probe is discussed in Sect. 4. The results on the cosmological parameters are shown in Sect. 5, along with a discussion on their robustness against systematic effects. The summary of our findings and the conclusions are drawn in Sect. 6. Throughout this work, if not otherwise stated, we plot and tabulate values, with errors quoted at the 68.3 per cent (1
)
level of confidence, that are estimated by assuming
H0= 70 h70-1 km s-1 Mpc-1 and
.
Table 1: Properties of the z>0.3 cluster sample described in Balestra et al. (2007).
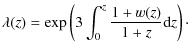
2 The cosmological framework
We refer to
as the baryon matter density, to
as the total matter density (i.e.
,
where
is the
cold dark matter component), to
as the dark energy density, that we consider both in its static and
homogeneous form as a cosmological constant and with an equation
of state varying with cosmic time as ``quintessence'' (e.g. Turner &
White 1997; Caldwell et al. 1998). All these densities are expressed in units of the critical density,
,
where H0 is Hubble's constant and G is the gravitational
constant. In our computation, we neglect (i) the energy associated with
the cosmic radiation,
;
and (ii) any possible contributions from light neutrinos,
,
that is expected to be less than 0.01 for a total mass in
neutrinos,
,
lower than 0.62 eV (see, e.g.,
Hannestad & Raffelt 2006). Therefore, we adopt the Einstein equation
in the form
where
accounts for the curvature of space. From,
e.g., Carroll et al. (1992, cf. Eq. (25)), we can then write
the angular diameter distance as
where
The above equations (i) do not include the evolution with redshift of the radiation component,
In particular, the case of a cosmological constant requires w=-1.
3 The dataset
We consider the sample of 52 galaxy clusters at z > 0.3 presented in Balestra et al. (2007; see Table 1). The preparation, reduction and analysis of this dataset is described below.
As local measurements, we consider the sample of 8 objects at a redshift between 0.06 and 0.23 with a gas temperature higher than 4 keV described in Vikhlinin et al. (2006; see Table 2). We use the best-fit results of the gas temperature and density profiles obtained by adopting the same functional form that is applied in the present analysis to reproduce the ICM properties of the high-z sample. The gas and total mass profiles are then recovered for both the local and the z>0.3 sample with the same method described at the end of this section.
The histogram of the redshift distribution of the two samples is shown in Fig. 1.
The only criterion adopted for the selection of these objects is the availability of good exposures with Chandra of hot, massive, relaxed galaxy clusters over a significant redshift range. No selection effect is expected to occur in the application of the gas mass fraction method once the clusters are selected to ensure: (i) the use of the hydrostatic equilibrium equation to recover the total mass (round, relaxed objects are required for that); and (ii) a negligible contribution from non-gravitational energy in the region of interest to allow the use of cross-calibration with numerical simulations, such as the estimate of the depletion parameter (the selection of hot, massive systems dominated energetically by gravitational collapse satisfies this condition).
We have considered only Chandra exposures of the clusters
listed in Table 1. Data reduction is performed using the CIAO 3.2 software package with a recent version of the Calibration Database (CALDB 3.0.0)
including the correction for the degraded effective area of ACIS-I chips due to material accumulated on the ACIS optical blocking filter at the epoch of the observation. We also apply the time-dependent gain correction
,
which is necessary to adjust the ``effective gains'', which drifts with time due to an increasing charge transfer inefficiency (CTI). The detailed procedure of data reduction is described in Balestra et al. (2007).
A single thermal component (XSPEC model mekal; Arnaud 1996)
absorbed by the Galactic column density is fitted to the spectrum extracted
from a circular region with radius
(see Table 1)
around the cluster chosen to maximize the signal-to-noise ratio once the contaminating point sources are masked. The only free parameters in the spectral fit are the temperature,
the normalization and the metallicity with respect to the abundance table from Grevesse & Sauval (1998) here assumed as the reference. These temperature measurements are on average 3 per cent higher than the values obtained by assuming the standard metallicity table of Anders & Grevesse (1989).
Table 2: Properties of the local cluster sample from Vikhlinin et al. (2006).
![]() |
Figure 1: Redshift distribution of the clusters in the whole sample (dashed region) and of the selected hottest objects (shaded regions). |
| Open with DEXTER | |
![]() |
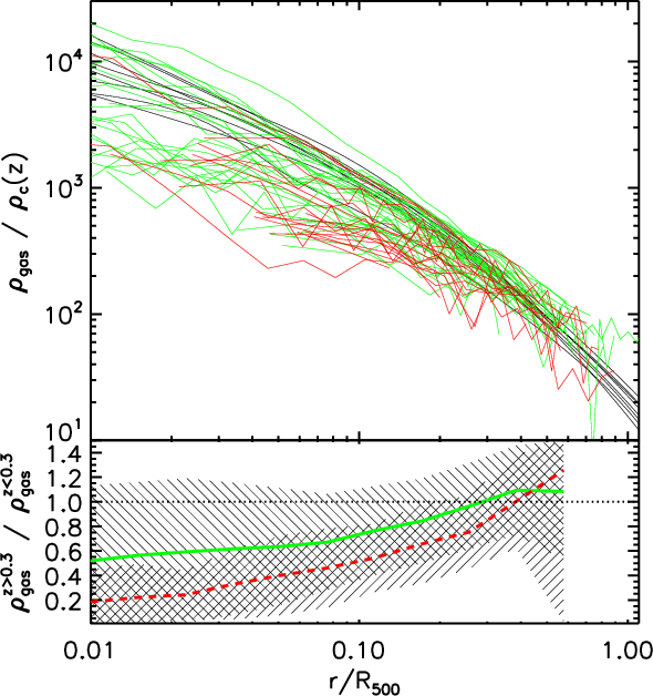
Figure 2: Radial gas density profiles in units of the critical density at the cluster redshift. Green, black and red lines indicate objects at redshift <0.3, 0.3-0.6 and >0.6, respectively. The bottom panel shows the ratio (and relative dispersion) of the mean density profiles observed in the redshift range 0.3-0.6 (green line) and z > 0.6 (red line) with respect to the local profile. |
| Open with DEXTER | |
We assume that galaxy clusters are spherically symmetric
gravitationally bound systems. We deproject the X-ray surface
brightness to obtain the electron density profile,
,
by
correcting the emissivity by the contribution from the outer shells
moving inwards. We consider the profiles from the deprojection of the
background-subtracted surface brightness S, with error
,
up to the radial limit,
,
beyond which
.
The gas density profiles, normalized to the
critical density at the cluster's redshift, are shown in
Fig. 2. We note that the average profile measured in
local (z<0.3) clusters is definitely more peaked than the ones
observed at higher redshift, with a central gas density that is a factor of 2 higher than in systems at 0.3<z<0.6 and almost a factor of 5 higher than in objects at z>0.6. This follows recent evidence that cooling cores, at relativly higher central density, preferentially form later in time (e.g. Santos et al. 2008; Ettori & Brighenti 2008).
To estimate the gas and total mass profiles, we fit the electron density profiles with a functional form adapted from Vikhlinin et al. (2006):
The number of free parameters is reduced according to the number of datapoints
The total and gas masses are then evaluated at
that describes the sphere within which the cluster overdensity with respect to the critical density is
.
This value of overdensity is maintained fixed in all the cosmologies studied and at
any redshift. Under the assumption of isothermality, we calculate therefore
where 1.155 is the value associated to a cosmic mix of hydrogen and helium with 0.3 times solar abundance in the remaining elements with a relative contribution that follows Grevesse & Sauval (1998),
![]() |
Figure 3:
Ratios between the maximum radial extension in the gas density profile,
|
| Open with DEXTER | |
All the errors are determined at 1
confidence level from the
16th and 84th percentile of the distribution of the values obtained by
repeating the calculations 1000 times after a new surface brightness
profile and gas temperature are considered by selecting
normally-distributed random values according to the original
measurements and their relative errors. A new total mass profile is
then estimated and new R500 and gas mass measurements are
obtained by following Eqs. (5).
Our estimates of the gas fraction rely upon the determination of the
total gravitating mass obtained under the assumption of an isothermal
gas. To check the effect of the presence of a temperature profile on
the measured total mass and, hence, gas fraction, we assume the expression for the temperature profile that Vikhlinin et al. (2006) showed to reproduce well the temperature gradients in nearby relaxed systems:
where x = r /R500 and the factor 1.23 comes from Eqs. (8) and (9) in Vikhlinin et al. (2006). Starting from the value of R500measured under the assumption of isothermality, we calculate (i) the temperature gradient; (ii) the total mass using the hydrostatic equilibrium equation (
As a reference, for
,
in the overall sample of 52 objects at z>0.3, we measure
(median / mean / dispersion), when a gas temperature
profile is assumed, and
(0.096, 0.099, 0.043), when a constant kT is adopted.
In the following analysis, we make use of the estimates obtained with a temperature profile to limit the cosmological parameters for the case of reference, and leave to the discussion on the systematics the case with a constant temperature.
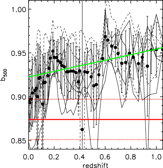
3.1 Comparison with previous work
We compare our results with recent determinations of the gas mass fraction obtained from a similar X-ray dataset.
Allen et al. (2008) presented an extensive cosmological study which uses
the gas mass fraction in 42 hot (kT > 4 keV) relaxed clusters.
When we consider the 16 objects in common with the present work,
the mean (dispersion) of the ratios of the estimated
at R2500 between their measurements and our estimates obtained
by assuming a temperature profile is
1.14 (0.24). Also within the scatter observed in this small sample used for comparison is the ratio between the spectroscopic measurements of the gas temperature (
,
rms =0.17).
We recall here that our gas temperatures are measured in spectra obtained to maximize the signal-to-noise ratio, including the contribution from the core emission. Any cool component in the core is expected to bias downwards the emission-weighted cluster temperature. We have checked the statistical effect of this bias by considering the sample of 90 clusters with temperatures >4 keV for which Maughan et al. (2007) obtained from Chandra observations a measure of the temperature both in the range (0-1) R500 and in the range (0.15-1) R500. We obtain a mean T0.15-1 / T0-1 of 1.01, with a dispersion of 0.14, suggesting that, even though on average a cool core does not significantly affect the cluster temperature, the scatter in the distribution of the measured temperatures can be high.
Overall, these results suggest that some systematics (e.g., the background subtraction, the energy range adopted for spectral fitting; see discussion in Appendix of Balestra et al. 2007),
of the order of 10-20 per cent and comparable to the mean statistical
error of 10 per cent, affect the estimates of the global temperatures.
These uncertainties propagate also to the measurements of the
gas mass fraction. To assess the role of these errors on the robustness of our
constraints, we investigate in Sect. 5.4 how our
results depend upon the sample selected according to the measured
relative error on the gas mass fraction, an error that is propagated
from the uncertainties on
.
![]() |
Figure 4:
Changes in estimates of R500 and
|
| Open with DEXTER | |
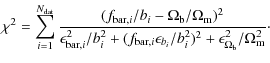
4 The cluster gas fraction as cosmological probe: the method
We start with a grid of values for the cosmological parameters we want to investigate, specifically
and
or w. We compute then
In the above equation, we use the following definitions:
- 1.
-
,
where the gas mass fraction
is directly measured from our X-ray observation and depends upon the cosmological parameters through the angular diameter distance,
,
defined in
Eq. (1), being
(see Fig. 5 for the relative dependence upon different cosmologies), while the mass fraction in cold baryons,
,
is estimated statistically as described in the next subsection;
- 2.
- the error on
,
,
is the sum in quadrature
of the uncertainties on
,
and on the assumed
value of Hubble's constant H0 (see below) propagated through the
following dependence:
and
;
- 3.
- the depletion parameter b (with error
)
represents the fraction of cosmic baryons that fall in the cluster dark matter halo and is estimated from hydrodynamical simulations as discussed in Sect. 4.2;
- 4.
- we assume
(error at 1
level)
from the best-fit results of the joint analysis in Komatsu et al. (2008) of
(i) the power spectrum of the temperature anisotropy measured from the Wilkinson Microwave Anisotropy Probe five year data release (WMAP 5-year, Dunkley et al. 2008); (ii) a combined set of magnitudes of type Ia supernovae (Riess et al. 2007; Astier et al. 2006; Wood-Vasey et al. 2007); (iii) the Baryon Acoustic Oscillations measured in a survey of galaxies at z=0.2 and z=0.35 (Percival et al. 2007).
We note that the recent compilation of the best-fit results from the Primordial Nucleosythesis calculations on
provides comparable constraints (see, e.g., Steigman 2006, page 34:
).
We consider the WMAP 5-year limits in the following analysis.
We adopt a present-day Hubble's constant of
km s-1 (error at 1
level) measured in the Hubble Space Telescope Key Project by Freedman et al. (2001). This value, assumed also as a Gaussian prior in the joint cosmological analysis from Komatsu et al. (2008), is in agreement with their final result of
km s-1, but is marginally in conflict with the value of
km s-1 Mpc-1 recently determined from type Ia supernovae calibrated with Cepheid variables in the nearby galaxies that hosted them (Sandage et al. 2006). We make use of these estimates of H0 in Sect. 5, where we discuss the robustness of our cosmological constraints.
![]() |
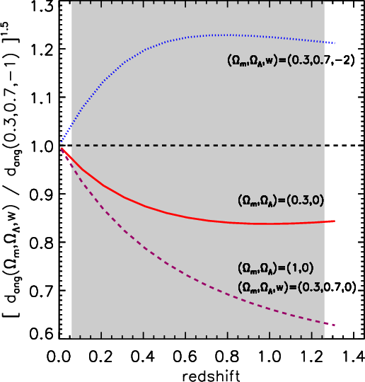
Figure 5: Sensitivity of the cluster baryon fraction method to the variation of the cosmological parameters. The shaded region indicates the redshift range considered in the present study. |
| Open with DEXTER | |
4.1 The stellar mass fraction
![]() |
Figure 6:
Stellar mass fractions (cf. Eq. (8)) and ratios between their values and the estimated gas mass fraction at R500 as function of redshift. Dashed lines indicate the median value:
|
| Open with DEXTER | |
The stellar mass fraction,
,
cannot be computed individually for each single object for which most
of the information of, e.g., the luminosity function of many clusters
at medium and high redshift is lacking. Therefore, a statistical approach is
generally used by estimating
as a function of other
observed quantities for which it has been possible to confirm a robust
correlation on a small and local sample of galaxy clusters.
From the measurements of the optical luminosity and Rosat X-ray
surface brightness in Coma, White et al. (1993) found
.
Arnaud et al. (1992) quote
when their values are converted using a mass-to-light
ratio for stars in the V band of
(see also Voevodkin &
Vikhlinin 2004). Similar results have been obtained from Fukugita et al. (1998) by estimating the global budget of cosmic baryons. In the following analysis, we will refer to these very similar recipes as
.
Lin et al. (2003) use the near-infrared light as a tracer of
the total stellar mass within cluster galaxies. They find a good
correlation between the stellar mass fraction obtained from the K-band
luminosity function measured using the Two Micron All Sky Survey
(2MASS) data and X-ray properties of 27 nearby systems. Considering
that their results apply to all the sample that spans a gas
temperature between 2 and 9 keV and that they rely on total mass estimates
obtained from scaling relations taken from the literature, we
use their measurements of
and their assumed
to recover an empirical relation valid for the clusters with
keV that we will consider in our analysis. We obtain
that, for these 10 very massive clusters, the ratio
is almost independent of the temperature itself
and is equal to
(5 keV)-1.5(weighted mean and dispersion after propagation of the errors on both
,
for which we assume the relative error on the estimates of the luminosity, and
). The estimated stellar masses are then added to the measured gas masses
to evaluate the total baryon mass. We will refer to
to indicate this method calculating the stellar contribution to the
total baryon budget.
An additional component of the cold baryon budget is the intracluster
light (ICL) at very low surface brightness, making the total cold baryonic content of galaxy clusters equal to
.
Numerical simulations (e.g. Willman et al. 2004; Murante et al. 2004, 2007) suggest that the ICL mostly originates from the merging processes taking place during the assembly of massive cluster galaxies.
Consistently with observational results for the Virgo cluster (Feldmeier et al. 2004), simulations predict
in lower mass systems, with an increasing fraction up to
in
clusters (e.g. Lin & Mohr 2004).
Gonzalez, et al. (2007) have presented a census of the
baryons in local systems with total masses in the range
.
Including the ICL luminosity
well mapped within 300 kpc, but probably underestimated in the
outskirts if there is any significant contribution at larger radii,
they found a well defined correlation between the stellar mass fraction and the total mass at
in the form of
.
Recently, Lagana et al. (2008) discussed in detail the baryonic
content of five massive galaxy clusters, including an ICL contribution. They conclude that the stellar-to-gas mass ratio within R500 anti-correlates slightly with the gas temperature and can be expressed through the relation
where
As a reference, for
,
we obtain for the selected sample of massive objects
(median / mean / dispersion; see Fig. 6)
which represents about 10% of the total cluster baryon budget (see discussion in Sect. 5.5).
We study further the effect of (i) a different recipe to evaluate
;
and (ii) the possibility of a larger, up to 20 per cent, contribution of the ICL, when we discuss the robustness of our results to some systematic errors in Sect. 5.4.
4.2 The depletion parameter
The depletion parameter
indicates the amount of cosmic baryons that are thermalized
within the cluster potential. When measured over well-representative regions of a galaxy cluster, this value tends to be lower than unity because not all the accreting
shock-heated baryons relax within the dark matter halo.
However, the depletion parameter can presently only be inferred from numerical simulations,
where both the input cosmic baryons are known and the amount of them accreting into the
cluster dark matter halo can be traced. For instance, Eke et al. (1998) find in
their smoothed particle hydrodynamics non-radiative simulations
that the gas fraction within
is, on average,
87 per cent of the cosmic value. On the other side, recent work with grid-based numerical codes estimates that a larger amount of baryons are captured in the cluster potential
(e.g. Kravtsov et al. 2005). In a set of SPH and Eulerian simulations of a single cluster presented in the Santa Barbara Comparison Project, Frenk et al. (1999) measure at the virial radius
.
In Ettori et al. (2006), we analyze the b parameter in a set of four
massive (
at z=0) galaxy clusters
simulated by using the Tree+SPH code GADGET-2. We consider here the distribution of the values of
b(<R500) measured in two sets of hydrodynamical simulations, one with
gravitational heating only, the other including radiative processes,
such as cooling and star formations with feedback provided from weak winds
(Fig. 7).
We measure
at z=0 and
at z=1 in the first set, and
at z=0and
at z=1, when cooling and feedback are
considered. If we average over the redshift range 0-1,
we obtain
,
or, by fitting a polynomial at 1st order in redshift,
.
Considering that the four objects under consideration reached
at z=0 after they accreted mass by a factor 2-6 from z=1, we adopt two values for the depletion parameter, encompassing the results
of our simulated dataset (see Fig. 7):
| (9) |
that is related to the most massive systems, subjected only to the gravitational heating, in the studied simulation and, thus, particularly appropriate for the high-temperature objects that are analyzed in the present work over radial regions, beyond their cores, where radiative processes (like cooling, star formation, stellar feedback) are not expected to influence significantly the ICM physiscs;
that is the quantity measured when all the simulated dataset are considered over the redshift range of interest.
![]() |
Figure 7:
Depletion parameter as a function of redshift as measured in
cosmological hydrodynamical simulations in Ettori et al. (2006). The solid and dashed lines show results for non radiative simulations and for radiative simulations, which include star formation and galactic winds, respectively. These estimates are averaged over simulations of four massive clusters with
|
| Open with DEXTER | |
5 Results on the cosmological parameters
We measure the gas mass fraction at R500 in 52 z>0.3 objects with a
median relative error
of 36 per cent (1
).
In the local sample, the relative error is about 6 per cent.
In the following analysis, we focus on the most massive objects
present in our sample to work under the ideal hypothesis that
the physics of the X-ray emitting plasma is only determined by the
gravitational collapse. To define a sample of massive systems whose baryon content is
expected to be representative of the cosmic budget, we select the 49 objects at z>0.3 with
keV (see Fig. 1
and Table 1). We also consider the 8 galaxy clusters with
keV in the local sample of Vikhlinin et al. (2006; see Table 2)
![]() |
Figure 8:
Constraints in the
|
| Open with DEXTER | |
![]() |
Figure 9:
( Left) Constraints in the
|
| Open with DEXTER | |
5.1 Constraints on
and
We assume hereafter that
,
km s-1 Mpc-1,
and
,
with an associated 20 per cent relative error (at 1
level). From the estimated mean gas mass fraction within R500 of 0.11 (see Sect. 3), the resulting matter density parameter is
expected to measure (see Eq. (7))
![]() |
(11) |
To make extensive use of the information present in the gas mass fraction distribution, we minimize Eq. (7) for a grid of values of
| (12) |
The total
These results change slightly once the recent determination of Hubble's constant,
km s-1 Mpc-1 by Sandage et al. (2006), is adopted. With a
,
we obtain
| (13) |
More stringent results are obtained when tighter constraints on Hubble's constant provided with a joint-fit with the cosmic microwave temperature anisotropies are considered. For example, by using the best-fit values from WMAP 5-year data analysis by Komatsu et al. (2008;
| (14) |
but with a
5.2 Constraints on the equation of state of the dark energy
We investigate the constraints that the cluster baryon fraction can place on the equation of state of the dark energy,
,
where P and
are the pressure and density of the dark energy component, respectively. We consider both the case w= constant and
w=w(w0, w1) as in Eq. (3). We present our reference results in Fig. 9.
Under the assumption of a flat Universe (
),
the best-fit values for our reference model are (
;
1
level of confidence on one single parameter):
| (15) |
No significant limits are obtained for an evolving w (see Eq. (3)), with
Similarly to the case for
,
changes in the assumed prior distributions induce appreciable differences in the central values of the best-fit parameters. As shown in Fig. 11, these differences are however always within 2
for w, even in the most extreme cases, e.g. not considering the local (z<0.3) objects or including in the analysis only the hottest (kT > 8 keV) clusters. For the measurements of
,
the behaviour is the same as discussed in the previous section.
![]() |
Figure 10:
Distribution of the measured baryon fractions in the sample of 57 objects (49 of which are at z>0.3) with
|
| Open with DEXTER | |
5.3 Do the data require
?
Considering our best-fit results presented in Sect. 5.1,
we obtain that
with a significance in the range
(see, e.g., Table 3). In particular, for our reference case (Fig. 8), our dataset requires a
of about 1 when
is fixed to zero (see Fig. 10). Therefore, the baryonic mass fraction in galaxy clusters alone can only provide marginal evidence for a no null contribution from a dark energy component. This contribution is mainly due to the assumption that the gas mass fraction does not evolve with redshift in the ``correct'' cosmology.
We can write it as
where
5.4 Robustness to systematic errors
In this section, we investigate how our cosmological constraints are affected by potential systematic errors. To evaluate this, we repeat the analysis described in the previous sections and apply it to several different subsets defined by changing one of the criteria adopted for the selection of the reference sample of 57 hot galaxy clusters.
First of all, we do not observe any dependence of
on
both temperature and metallicity in our reference sample: once
objects with
keV are selected, the Spearman's rank
correlation is about 0.1 implying an underlying correlation
significant at less than the 1
confidence level.
Moreover, we notice that the estimated gas mass fraction within R2500is about 75 per cent of the value measured at R500 (mean and
standard deviation after 1000 bootstrap resampling =
;
median =73 per cent), confirming its increased value outwards.
As shown in the plots of Fig. 11 (and summarized in
Table 3), the largest uncertainties are related to the
assumed prior on the temperature profile. By using the values obtained by assuming an isothermal ICM (see
in Table 1), and applying
the method described in Sect. 4, we obtain (total
;
)
| (17) |
and (
| w < -0.8. | (18) |
The total
The assumption on the stellar mass fraction does not significantly affect
the estimates of the cosmological parameters. As discussed in
Sect. 4.1, the stellar mass fraction that we adopt here
from Lagana et al. (2008) lies on the lower end of the distribution
available in the literature. By assuming instead
,
independently from the cluster mass, as generally done in similar work (e.g. Ettori et al. 2003; Allen et al. 2008), we measure a decrease in
by about 9 per cent (see case labelled ``
'').
Table 3:
Best-fit results and 1
(
)
errors of the cosmological parameters constrained in our analysis under different assumptions.
![]() |
Figure 11:
Best-fit results on
|
| Open with DEXTER | |
To select our sample of 57 clusters, we have applied only the
selection criterion of
keV to consider only the most
massive systems for which the ICM physics should be mostly determined
by the process of gravitational collapse.
Once we add the further criterion that the relative uncertainty
on the gas mass fraction values has to be lower than 0.5
(
),
the sample is reduced to 41 objects and the good fit
obtained (
)
provides marginally looser constraints on the
cosmological parameters, but in better agreement with WMAP 5-year limits. On the other hand, when very hot systems (
keV) are considered, the sample is reduced to only 22 objects and estimates of
consistent with zero are obtained.
Similar constraints are obtained when the local (z<0.3) 8 clusters
are excluded due to the insensitivity of the geometrical part of the
method to the dark energy component at high redshift.
In our selection, we do not consider the morphological aspect of the
cluster. To study this effect, we have considered the measurements of
the centroid shift for the 43 objects in common with the sample of 90 clusters analysed by Maughan et al. (2007) with
keV.
We consider as relaxed objects the 18 clusters with a centroid shift
lower than the median value of
measured over the
entire sample of 115 clusters (see their Table 2). These 18 objects
are part of the first sample, labelled cen0. A second sample,
cen1, includes the 16 objects for which an estimate of the centroid
shift is not available, for a total number of 34 clusters. Through
these two samples, we obtain very similar results, with a relativly
larger (smaller) contributions from the dark energy (matter) component
compared to the reference values.
Overall, we can attribute a systematic relative error of about
5 per cent to the most robust cosmological constraint,
.
It is estimated by considering the standard deviations of the
values plotted in Fig. 11 and summarized in
Table 3 around our best-fit reference value of
.
Similarly, we associate a systematic
uncertainty of
(-0.25, +0.30) to our best-fit value
(about 45 per cent) and a relative systematic uncertainty
of
(-25, +34) per cent to our best-fit value of w=-1.1.
5.5 The reverse situation: the baryon distribution in X-ray galaxy clusters after WMAP 5-year
In the previous sections, we have looked at the best-fit cosmological parameters that better reproduce the observed distribution of the cluster baryonic mass fraction. We now reverse the the problem, by fixing the cosmological parameters to the values suggested from the analysis of the anistropies in the cosmic microwave background and investigating the average physical properties of the baryons in our X-ray luminous galaxy clusters.
Given the above measurements of the cluster gas and total masses, and the estimated contribution from the stellar component, we can estimate the relative distribution of baryons in galaxy clusters assuming that the cosmology is defined in its components from best-fit results obtained after the WMAP 5-year release (Dunkley et al. 2008), combined in a joint analysis with supernovae type Ia data and Baryon Acoustic Oscillations constraints (see Komatsu et al. 2008). In the present work, we follow the analysis described by Ettori (2003) and update the results discussed there.
![]() |
Figure 12:
( Left) Cluster baryonic pie obtained by fixing the cosmological parameters to the best-fit results after the WMAP 5-year release (Komatsu et al. 2008) and considering the mean values of the hot (
|
| Open with DEXTER | |
We estimate the relative contribution of the cluster baryons
to the cosmic value
,
where the best-fit results after the WMAP 5-year release
are considered (
km s-1 Mpc-1,
,
;
see Table 1 in Komatsu et al. 2008). We correct our baryon fractions
by the depletion parameter with consistent results both
when we use b=constant and b=b(z). In the panel on the left of Fig. 12, we show the mean values (after 1000 bootstrap resamplings) of the ratios between the mass fractions in hot / cold / the remaining baryons and the cosmic value equals to
.
The requirement for the presence of other baryons apart from the hot,
X-ray emitting component and the cold, stellar phase can be explained
by either: (i) an underestimate by a factor of 3 of the mass fraction in the form of cold baryons; or (ii) an underestimate by about 20 per cent of
.
Recently, McCarthy et al. (2007) obtained similar results by
combining
profiles collected from the literature,
and corrected for (i) stellar mass contributions; (ii) violations of the
hydrostatic equilibrium equation; and (iii) the depletion parameter,
with the WMAP 3-year results (Spergel et al. 2007), concluding that the
most likely explanation is that
must lie in the range
0.28-0.47, i.e. up to 70 per cent larger than the best-fit from
the WMAP 5-year analysis.
We emphasize, however, that our conclusion on a no null contribution from
other baryons not accounted for in X-ray emitting plasma and
cold stars and intracluster light is drawn mainly from fixing
the cosmological parameters to the results of the analysis
after the WMAP 5-year release that strongly support a flat Universe solution.
On the other hand, our best-fit results seem to suggest
either a higher
value or, if
from the WMAP 5-year constraints is adopted, a higher (lower)
value, lowering the requested amount of
(see panel on the right in Fig. 12).
Moreover, by assuming that the WMAP 5-year data provide
the ``correct'' cosmology and, thus, fixing
to those values, we can attempt to limit the contribution of other effects that
can further bias the estimates of the gas mass fraction. Among these, we consider the level of the ICM clumpiness (e.g. Mathiesen et al. 1999) and the presence of non-thermal pressure support (e.g. Dolag & Schindler 2000).
To weigh their contribution, we look for a minimum
in the
parameter space
,
where
is the ratio, assumed constant in time
and space, between a pressure of non-thermal origin and the pressure
of the ICM and
is
a measure of the clumpiness of the ICM which is observed in brightness
as an average value of the square of the gas density
.
These two parameters affect the gas mass fraction estimates through
propagation of corrections on the total and gas masses in a degenerative way:
,
and, thus,
.
The net effect is thus to further reduce the gas mass fraction value.
Adding this to the indication that the WMAP 5-year cosmology does not account
for the observed baryon census will further increase the measured discrepancy.
Indeed, we obtain that, at a 3
level of confidence with 2 degrees of freedom, our gas mass fraction measurements within R500 in a WMAP 5-year concordant Universe constrain
and C < 1.01 (the best-fit results
require
and C = 1).
6 Conclusions
We study the baryonic content in 52 X-ray luminous galaxy clusters
observed with Chandra in the redshift range 0.3-1.273.
We include in the sample the measurements of 8 objects
with
keV lying in the redshift range 0.06-0.23
presented in Vikhlinin et al. (2006). We adopt the same functional form to estimate the gas density and temperature profiles to recover the gas and total mass radial
distribution. We estimate statistically the average contribution
from cold baryons in stars and intracluster light to the total
baryonic budget of each cluster. By using the baryonic content
determined in this way, we have investigated the robustness of the
cosmological constraints provided from the cluster baryon fraction
alone.
We show that the a-priori knowledge of the cosmic baryon density
and the Hubble constant H0 are essential to place
significant limits in the
plane.
In particular, the determination of their central values are required
to avoid the introduction of systematic differences in the estimate of
the cosmological parameters. This systematic bias cannot be corrected
by simply enlarging the error bars on the assumed central values, but
need a definitive input from other sources (for instance, CMB
measurements, type Ia supernovae data or primordial nucleosynthesis
calculations; see, e.g., Allen et al. 2008).
We find that the gas mass fraction measured in our subsample of 57 hot
(
keV) galaxy clusters, in combination with a Hubble's
constant value of
km s-1 Mpc-1 and
,
provides a best-fit
result of
and
(1
error; w=-1)
and
and
,
when a flat Universe is considered.
We discuss in detail the systematic effect on our best-fit constraints
originating from: (i) the stellar mass fraction component, expected to
be of the order of
;
(ii) the redshift dependence
of the depletion parameter b; (iii) the isothermality of the ICM.
The latter effect, in particular, increases the total
by
17 and shifts the best-fit values by about 15 per cent, pointing
out the necessity for a robust and reliable determination of the temperature profiles in galaxy clusters, possibly out to the region where the gas mass fraction measurements are more
representative of the cluster baryon content (
).
By fixing the cosmological parameters to the values from the WMAP 5-year data analysis, we limit the contributions expected from non-thermal pressure support and ICM clumpiness to be lower than about 10 per cent. Otherwise, there is room to accommodate baryons not accounted for either in the X-ray emitting plasma or in stars in the order of 18 per cent of the total cluster baryon budget. However, this value is lowered to zero once a no-flat Universe is allowed, as suggested from the cluster gas mass fraction distribution alone.
Bearing in mind that the
method to constrain the
cosmological parameters is not self-consistent and needs a strong
a-priori knowledge of both the Hubble constant value and the cosmic
baryon density, we conclude that it offers well proven and reliable
results on
(relative statistical error at 1
of
11%, with a further systematic effect of
5%),
whereas it presents weakness in terms of the assumptions on the
astrophysics involved when applied to investigate the dark energy issue.
On the other hand, this method provides a complementary and independent constraint of the
parameter space investigated from planned dark energy experiments
(e.g. Rapetti et al. 2008; see also Linder 2007 for a more
pessimistic view) and should be supported for this application.
Acknowledgements
We acknowledge the financial contribution from contracts ASI-INAF I/023/05/0 and I/088/06/0. PT and SB acknowledge the financial support from the PD51 INFN grant. Cristiano De Boni is thanked for the useful discussion.
References
- Allen, S. W., Schmidt, R. W., & Fabian, A. C. 2001, MNRAS, 328, L37 [NASA ADS] [CrossRef]
- Allen, S. W., Schmidt, R. W., & Fabian, A. C. 2002, MNRAS, 334, L11 [NASA ADS] [CrossRef] (In the text)
- Allen, S. W., Rapetti, D. A., Schmidt, R. W., et al. 2008, MNRAS, 383, 879 [NASA ADS] [CrossRef] (In the text)
- Anders, E., & Grevesse, N. 1989, Geochim. Cosmochim. Acta, 53, 197 [NASA ADS] [CrossRef] (In the text)
- Arnaud, K. A. 1996, Astronomical Data Analysis Software and Systems V, ed. G. Jacoby, & J. Barnes, ASP Conf. Ser., 101, 17 (In the text)
- Arnaud, M., Rothenflug, R., Boulade, O., Vigroux, L., & Vangioni-Flam, E. 1992, A&A, 254, 49 [NASA ADS] (In the text)
- Balestra, I., Tozzi, P., Ettori, S., et al. 2007, A&A, 462, 429 [NASA ADS] [CrossRef] [EDP Sciences] (In the text)
- Caldwell, R. R., Dave, R., & Steinhardt, P. J. 1998, Phys. Rev. Lett., 80, 1582 [NASA ADS] [CrossRef] (In the text)
- Carroll, S. M., Press, W. H., & Turner, E. L. 1992, ARA&A, 30, 499 [NASA ADS] [CrossRef] (In the text)
- Castillo-Morales, A., & Schindler, S. 2003, A&A, 403, 433 [NASA ADS] [CrossRef] [EDP Sciences] (In the text)
- David, L. P., Jones, C., & Forman, W. 1995, ApJ, 445, 578 [NASA ADS] [CrossRef] (In the text)
- Dolag, K., & Schindler, S. 2000, A&A, 364, 491 [NASA ADS] (In the text)
- Dunkley J., et al. 2008, ApJS, in press [arXiv:0803.0586] (WMAP 5-year) (In the text)
- Ettori, S. 2000, MNRAS, 311, 313 [NASA ADS] [CrossRef]
- Ettori, S. 2001, MNRAS, 323, L1 [NASA ADS] [CrossRef]
- Ettori, S., & Fabian, A. C. 1999a, MNRAS, 305, 834 [NASA ADS] [CrossRef]
- Ettori, S., & Fabian, A. C. 1999b, proceedings of the Ringberg workshop on Diffuse Thermal and Relativistic Plasma in Galaxy Clusters, ed. H. Böhringer, L. Feretti, & P. Schuecker, MPE Report No. 271, MPE Garching
- Ettori, S., & Brighenti, F. 2008, MNRAS, 387, 631 [NASA ADS] [CrossRef] (In the text)
- Ettori, S., Tozzi, P., & Rosati, P. 2003, A&A, 398, 879 [NASA ADS] [CrossRef] [EDP Sciences] (In the text)
- Ettori, S., Dolag, K., Borgani, S., & Murante, G. 2006, MNRAS, 365, 1021 [NASA ADS] [CrossRef] (In the text)
- Evrard, A. E. 1997, MNRAS 292, 289
- Freedman, W. L., Madore, B. F., Gibson, B. K., et al. 2001, ApJ, 553, 47 [NASA ADS] [CrossRef] (In the text)
- Frenk, C. S., White, S. D. M., Bode, P., et al. 1999, ApJ, 525, 554 [NASA ADS] [CrossRef] (In the text)
- Fukugita, M., Hogan, C. J., & Peebles, P. J. E. 1998, ApJ, 503, 518 [NASA ADS] [CrossRef] (In the text)
- Gonzalez, A. H., Zaritsky, D., & Zabludoff, A. I. 2007, ApJ, 666, 147 [NASA ADS] [CrossRef] (In the text)
- Hannestad, S., & Raffelt, G. G. 2006, JCAP, 11, 16 [NASA ADS] (In the text)
- Komatsu, E. et al. 2008, ApJS, in press [arXiv:0803.0547] (WMAP 5-year) (In the text)
- Kravtsov, A. V., Nagai, D., & Vikhlinin, A. 2005, ApJ, 625, 588 [NASA ADS] [CrossRef] (In the text)
- Lagana, T. F., Lima Neto, G. B., Andrade-Santos, F., & Cypriano, E. S. 2008, A&A, 485, 633 [NASA ADS] [CrossRef] [EDP Sciences] (In the text)
- Lin, Y.-T., & Mohr, J. J. 2004, ApJ, 617, 879 [NASA ADS] [CrossRef] (In the text)
- Lin, Y.-T., Mohr, J. J., & Stanford, S. A. 2003, ApJ, 591, L749 [NASA ADS] [CrossRef] (In the text)
- Linder, E. V. 2007, JCAP, 04, 4 [NASA ADS]
- McCarthy, I. G., Bower, R. G., & Balogh, M. L. 2007, MNRAS, 377, 1457 [NASA ADS] [CrossRef] (In the text)
- Markevitch, M., & Vikhlinin, A. 2001, ApJ, 563, 95 [NASA ADS] [CrossRef]
- Mathiesen, B., Evrard, A. E., & Mohr, J. J. 1999, ApJ, 520, L21 [NASA ADS] [CrossRef] (In the text)
- Maughan, B. J., Jones, C., Jones, L. R., & Van Speybroeck, L. 2007, ApJ, 659, 1125 [NASA ADS] [CrossRef] (In the text)
- Murante, G., Arnaboldi, M., Gerhard, O., et al. 2004, ApJ, 607, L83 [NASA ADS] [CrossRef] (In the text)
- Murante, G., Giovalli, M., Gerhard, O., et al. 2007, MNRAS, 377, 2 [NASA ADS] [CrossRef] (In the text)
- Mohr, J. J., Mathiesen, B., & Evrard, A. E. 1999, ApJ, 517, 627 [NASA ADS] [CrossRef]
- Navarro, J. F., Frenk, C. S., & White, S. D. M. 1997, ApJ, 490, 493 [NASA ADS] [CrossRef]
- Peebles, P. J. E., & Ratra, B. 2003, Rev. Mod. Phys., 75, 559 [NASA ADS] [CrossRef] (In the text)
- Rapetti, D., Allen, S. W., & Weller, J. 2005, MNRAS, 360, 555 [NASA ADS] [CrossRef] (In the text)
- Rapetti, D., Allen, S. W., & Mantz, A. 2008, MNRAS, 388, 1265 [NASA ADS] [CrossRef]
- Rines, K., Forman, W., Pen, U., Jones, C., & Burg, R. 1999, ApJ, 517, 70 [NASA ADS] [CrossRef] (In the text)
- Rosati, P., Borgani, S., & Norman, C. 2002, ARA&A, 40, 539 [NASA ADS] [CrossRef]
- Roussel, H., Sadat, R., & Blanchard, A. 2000, A&A, 361, 429 [NASA ADS] (In the text)
- Sadat, R., Blanchard, A., Vauclair, S. C., et al. 2005, A&A, 437, 31 [NASA ADS] [CrossRef] [EDP Sciences] (In the text)
- Sandage, A., Tammann, G. A., Saha, A., et al. 2006, ApJ, 653, 843 [NASA ADS] [CrossRef] (In the text)
- Santos, J. S., Rosati, P., Tozzi, P., et al. 2008, A&A, 483, 35 [NASA ADS] [CrossRef] [EDP Sciences] (In the text)
- Sasaki, S. 1996, PASJ, 48, L119 [NASA ADS] (In the text)
- Spergel, D. N., Verde, L., Peiris, H. V., et al. 2003, ApJS, 148, 175 [NASA ADS] [CrossRef] (WMAP 1-year)
- Spergel, D. N., Bean, R., Doré, O., et al. 2007, ApJS, 170, 377 [CrossRef] (WMAP 3-year) (In the text)
- Stanford, S. A., Holden, B. P., Rosati, P., et al. 2001, ApJ, 552, 504 [NASA ADS] [CrossRef]
- Steigman, G. 2006, Int. J. Mod. Phys., E15, 1 [NASA ADS] (In the text)
- Strazzullo, V., Rosati, P., Stanford, S. A., et al. 2006, A&A, 450, 909 [NASA ADS] [CrossRef] [EDP Sciences] (In the text)
- Turner, M. S., & White, M. 1997, Phys. Rev. D, 56 (8), 4439 (In the text)
- Vikhlinin, A., Kravtsov, A., Forman, W., et al. 2006, ApJ, 640, 691 [NASA ADS] [CrossRef] (In the text)
- Voevodkin, A., & Vikhlinin, A. 2004, ApJ, 601, 610 [NASA ADS] [CrossRef] (In the text)
- Wang, L., & Steinhardt, P. J. 1998, ApJ, 508, 483 [NASA ADS] [CrossRef] (In the text)
- White, D. A., & Fabian, A. C. 1995, MNRAS, 273, 72 [NASA ADS] (In the text)
- White, S. D. M., Navarro, J. F., Evrard, A. E., et al. 1993, Nature, 366, 429 [NASA ADS] [CrossRef] (In the text)
Online Material
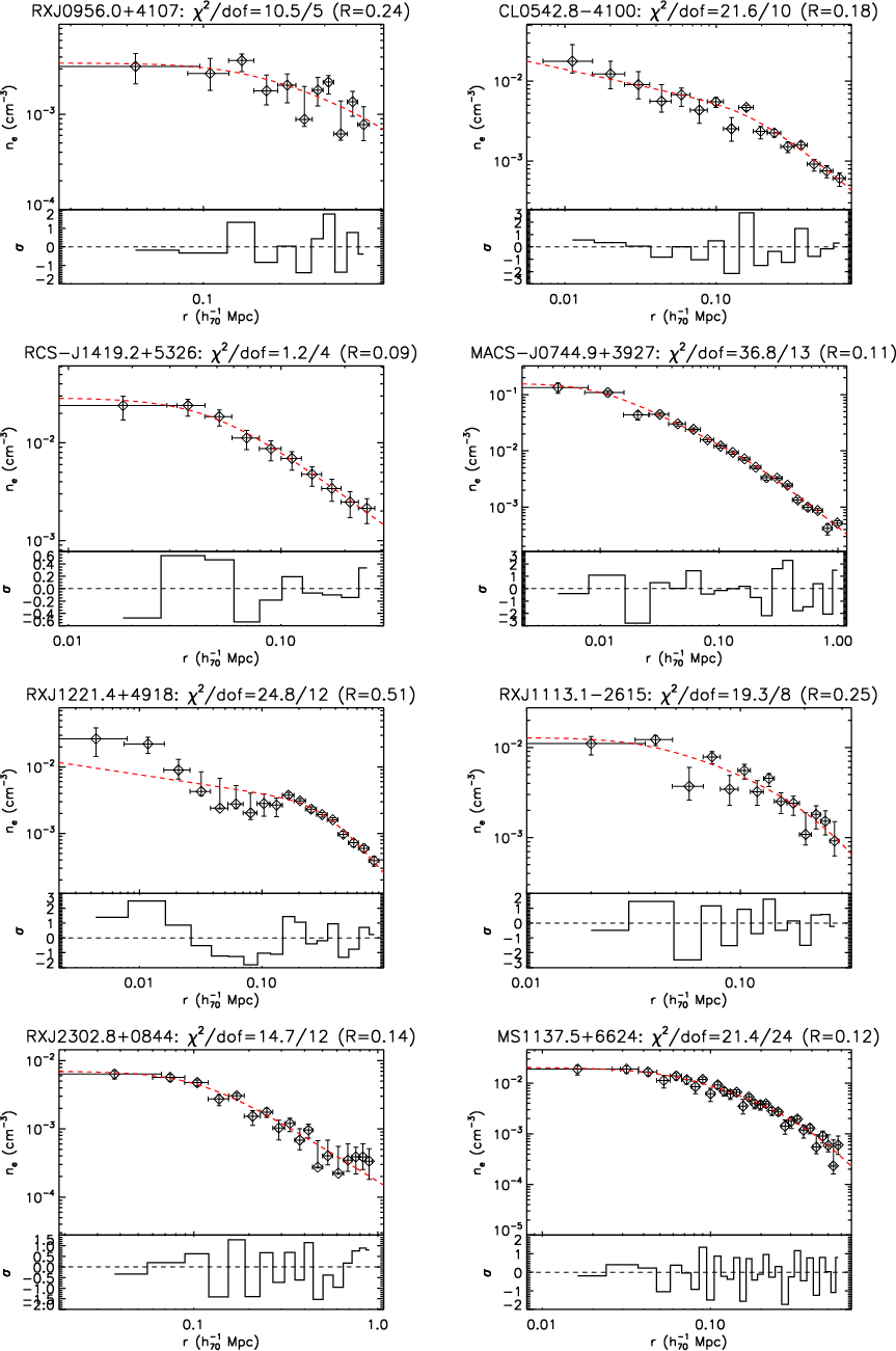
Appendix A: Fit of the deprojected gas density profiles
We show the electron density profiles, obtained from the deprojection of the surface brightness, of the objects in our high-z sample. We overplot the best-fitted function form in Eq. (5) fitted over the radial range
![]() |
Figure A.1:
Plots of the deprojected electron density profiles with the
best-fit model in Eq. (5) overplotted and the residuals
|
| Open with DEXTER | |
![]() |
Figure A.1: continued. |
| Open with DEXTER | |
![]() |
Figure A.1: continued. |
| Open with DEXTER | |
![]() |
Figure A.1: continued. |
| Open with DEXTER | |
![]() |
Figure A.1: continued. |
| Open with DEXTER | |
![]() |
Figure A.1: continued. |
| Open with DEXTER | |
![]() |
Figure A.1: continued. |
| Open with DEXTER | |
Footnotes
- ... study
- Appendix A is only available in electronic form at http://www.aanda.org
- ... correction
- http://asc.harvard.edu/ciao/threads/acistimegain/
All Tables
Table 1: Properties of the z>0.3 cluster sample described in Balestra et al. (2007).
Table 2: Properties of the local cluster sample from Vikhlinin et al. (2006).
Table 3:
Best-fit results and 1
(
)
errors of the cosmological parameters constrained in our analysis under different assumptions.
All Figures
![]() |
Figure 1: Redshift distribution of the clusters in the whole sample (dashed region) and of the selected hottest objects (shaded regions). |
| Open with DEXTER | |
| In the text | |
![]() |
Figure 2: Radial gas density profiles in units of the critical density at the cluster redshift. Green, black and red lines indicate objects at redshift <0.3, 0.3-0.6 and >0.6, respectively. The bottom panel shows the ratio (and relative dispersion) of the mean density profiles observed in the redshift range 0.3-0.6 (green line) and z > 0.6 (red line) with respect to the local profile. |
| Open with DEXTER | |
| In the text | |
![]() |
Figure 3:
Ratios between the maximum radial extension in the gas density profile,
|
| Open with DEXTER | |
| In the text | |
![]() |
Figure 4:
Changes in estimates of R500 and
|
| Open with DEXTER | |
| In the text | |
![]() |
Figure 5: Sensitivity of the cluster baryon fraction method to the variation of the cosmological parameters. The shaded region indicates the redshift range considered in the present study. |
| Open with DEXTER | |
| In the text | |
![]() |
Figure 6:
Stellar mass fractions (cf. Eq. (8)) and ratios between their values and the estimated gas mass fraction at R500 as function of redshift. Dashed lines indicate the median value:
|
| Open with DEXTER | |
| In the text | |
![]() |
Figure 7:
Depletion parameter as a function of redshift as measured in
cosmological hydrodynamical simulations in Ettori et al. (2006). The solid and dashed lines show results for non radiative simulations and for radiative simulations, which include star formation and galactic winds, respectively. These estimates are averaged over simulations of four massive clusters with
|
| Open with DEXTER | |
| In the text | |
![]() |
Figure 8:
Constraints in the
|
| Open with DEXTER | |
| In the text | |
![]() |
Figure 9:
( Left) Constraints in the
|
| Open with DEXTER | |
| In the text | |
![]() |
Figure 10:
Distribution of the measured baryon fractions in the sample of 57 objects (49 of which are at z>0.3) with
|
| Open with DEXTER | |
| In the text | |
![]() |
Figure 11:
Best-fit results on
|
| Open with DEXTER | |
| In the text | |
![]() |
Figure 12:
( Left) Cluster baryonic pie obtained by fixing the cosmological parameters to the best-fit results after the WMAP 5-year release (Komatsu et al. 2008) and considering the mean values of the hot (
|
| Open with DEXTER | |
| In the text | |
![]() |
Figure A.1:
Plots of the deprojected electron density profiles with the
best-fit model in Eq. (5) overplotted and the residuals
|
| Open with DEXTER | |
| In the text | |
![]() |
Figure A.1: continued. |
| Open with DEXTER | |
| In the text | |
![]() |
Figure A.1: continued. |
| Open with DEXTER | |
| In the text | |
![]() |
Figure A.1: continued. |
| Open with DEXTER | |
| In the text | |
![]() |
Figure A.1: continued. |
| Open with DEXTER | |
| In the text | |
![]() |
Figure A.1: continued. |
| Open with DEXTER | |
| In the text | |
![]() |
Figure A.1: continued. |
| Open with DEXTER | |
| In the text | |
Copyright ESO 2009
Current usage metrics show cumulative count of Article Views (full-text article views including HTML views, PDF and ePub downloads, according to the available data) and Abstracts Views on Vision4Press platform.
Data correspond to usage on the plateform after 2015. The current usage metrics is available 48-96 hours after online publication and is updated daily on week days.
Initial download of the metrics may take a while.



![\begin{figure}
\par\includegraphics[width=7.8cm]{0878_f1.ps}
\end{figure}](/articles/aa/full_html/2009/25/aa10878-08/Timg347.png)
![\begin{figure}
\par\includegraphics[width=8.5cm,clip]{0878_f2.ps}
\end{figure}](/articles/aa/full_html/2009/25/aa10878-08/Timg348.png)



![\begin{figure}
\par\includegraphics[width=8cm,clip]{0878_f3.ps}
\end{figure}](/articles/aa/full_html/2009/25/aa10878-08/Timg370.png)
![\begin{displaymath}T(r) = 1.23 \frac{ (x/0.045)^{1.9}+0.45}{(x/0.045)^{1.9}+1}
\frac{T_{\rm spec}}{\left[ (x/0.6)^2+1 \right]^{0.45}},
\end{displaymath}](/articles/aa/full_html/2009/25/aa10878-08/img371.png)
![\begin{figure}
\par\mbox{\includegraphics[width=7.5cm,clip]{0878_f4a.ps}\hspace{6mm}
\includegraphics[width=7.5cm,clip]{0878_f4b.ps} }
\end{figure}](/articles/aa/full_html/2009/25/aa10878-08/Timg378.png)

![\begin{figure}
\par\includegraphics[width=7.5cm,clip]{0878_f5.ps}
\end{figure}](/articles/aa/full_html/2009/25/aa10878-08/Timg397.png)
![\begin{figure}
\par\includegraphics[width=7.5cm,clip]{0878_f6.ps}
\end{figure}](/articles/aa/full_html/2009/25/aa10878-08/Timg398.png)

![\begin{figure}
\par\includegraphics[width=7.5cm,clip]{0878_f7.ps}
\end{figure}](/articles/aa/full_html/2009/25/aa10878-08/Timg433.png)
![\begin{figure}
\par\mbox{\includegraphics[width=5cm,clip]{0878_f8a.ps}\hspace{8m...
....ps}\hspace{8mm}
\includegraphics[width=4.7cm,clip]{0878_f8c.ps} }\end{figure}](/articles/aa/full_html/2009/25/aa10878-08/Timg435.png)
![\begin{figure}
\par\mbox{\includegraphics[width=5.2cm,clip]{0878_f9a.ps}\hspace{...
...9b.ps}\hspace{8mm}
\includegraphics[width=5cm,clip]{0878_f9c.ps} }\end{figure}](/articles/aa/full_html/2009/25/aa10878-08/Timg436.png)

![\begin{figure}
\par\includegraphics[width=8.5cm,clip]{0878_f10.ps}
\end{figure}](/articles/aa/full_html/2009/25/aa10878-08/Timg458.png)

![\begin{figure}
\par\mbox{\includegraphics[width=7.5cm,clip]{0878f11a.ps}\hspace{8mm}
\includegraphics[width=7.5cm,clip]{0878f11b.ps} }\end{figure}](/articles/aa/full_html/2009/25/aa10878-08/Timg531.png)
![\begin{figure}
\par\mbox{\includegraphics[width=7cm,clip]{0878f12a.ps}\hspace{1.5cm}
\includegraphics[width=7cm,clip]{0878f12b.ps} }
\end{figure}](/articles/aa/full_html/2009/25/aa10878-08/Timg539.png)
![\begin{figure}
\par\vspace*{-0.0cm} \hbox{
\includegraphics[width=7cm]{ngas/MS1...
...s.ps}\includegraphics[width=7cm]{ngas/MACS-J1720.2+3536_ngas.ps} }\end{figure}](/articles/aa/full_html/2009/25/aa10878-08/Timg561.png)
![\begin{figure}
\par\vspace*{-0.0cm} \hbox{\includegraphics[width=7.5cm]{ngas/Zw0...
...s} \includegraphics[width=7.5cm]{ngas/MACS-J1206.2-0847_ngas.ps} }\end{figure}](/articles/aa/full_html/2009/25/aa10878-08/Timg562.png)
![\begin{figure}
\vspace*{-0.0cm} \hbox{
\includegraphics[width=7.5cm]{ngas/V170...
...as.ps} \includegraphics[width=7.5cm]{ngas/MS0015.9+1609_ngas.ps} }\end{figure}](/articles/aa/full_html/2009/25/aa10878-08/Timg563.png)
![\begin{figure}
\vspace*{-0.0cm} \hbox{
\includegraphics[width=7.5cm]{ngas/MACS-...
...s} \includegraphics[width=7.5cm]{ngas/MACS-J0647.7+7015_ngas.ps} }\end{figure}](/articles/aa/full_html/2009/25/aa10878-08/Timg564.png)
![\begin{figure}
\vspace*{-0.0cm} \hbox{
\includegraphics[width=7.5cm]{ngas/RXJ09...
...as.ps} \includegraphics[width=7.5cm]{ngas/MS1137.5+6624_ngas.ps} }\end{figure}](/articles/aa/full_html/2009/25/aa10878-08/Timg565.png)
![\begin{figure}
\par\vspace*{-0.0cm} \hbox{
\includegraphics[width=7.5cm]{ngas/R...
...as.ps} \includegraphics[width=7.5cm]{ngas/CL1415.1+3612_ngas.ps} }\end{figure}](/articles/aa/full_html/2009/25/aa10878-08/Timg566.png)
![\begin{figure}
\par\vspace*{-0.0cm} \hbox{
\includegraphics[width=7.5cm]{ngas/R...
....ps} \includegraphics[width=7.5cm]{ngas/RDCS-J0848+4453_ngas.ps} }\end{figure}](/articles/aa/full_html/2009/25/aa10878-08/Timg567.png)