Free Access

This article has an erratum: [https://doi.org/10.1051/0004-6361/200912350e]


Issue
A&A
Volume 503, Number 2, August IV 2009
Page(s) 459 - 466
Section Extragalactic astronomy
DOI https://doi.org/10.1051/0004-6361/200912350
Published online 02 July 2009

Online Material

Appendix A: Modeling the physical conditions of high density tracers

A.1 The physical environment of HCN

The top panel of Fig. A.1 shows the mean column density per line width $N(\rm {HCN})/\Delta\upsilon~\hbox{${\rm cm}^{-2}~{\rm km}^{-1}~{\rm s} $ }$ (the mean between the maximum and minimum $N/\Delta\upsilon$ that yield valid solutions), for all the explored densities $n(\rm H_2)$ and temperatures $T_{\rm K}$ that can reproduce, within $1\sigma $, the observed HCN $\frac{3-2}{1-0}$ and HCN $\frac{4-3}{3-2}$ line ratios and the intensity of the HCN J=3-2 line. The bottom panel of Fig. A.1 shows how $N(\rm {HCN})/\Delta\upsilon~\hbox{${\rm cm}^{-2}~{\rm km}^{-1}~{\rm s} $ }$ changes with ${n_{\rm H}}2$ at different temperatures. These curves are easier to compare with the output of Large Velocity Gradient (LVG) models (e.g. Goldreich & Scoville 1976) commonly found in the literature. To make these curves more clear we do not show the error bars (or uncertainties) of $N(\rm {HCN})/\Delta\upsilon$ for each temperature in the plot. But they range between 25.0%-48.8% at 30 K, 24.2%-40.6% at 50 K, 18.4%-38.0% at 70 K, and 21.2%-36.4% at 90 K. Note that the uncertainties decrease towards the higher ${n_{\rm H}}2$ densities.

The lower and upper limits of the HCN column density per line width $N(\rm {HCN})/\Delta\upsilon~\hbox{${\rm cm}^{-2}~{\rm km}^{-1}~{\rm s} $ }$ are $10^{13.2}~\hbox{${\rm cm}^{-2}~{\rm km}^{-1}~{\rm s} $ }$, at the highest density of about $10^6~\3cm$, and $10^{15.4}~\hbox{${\rm cm}^{-2}~{\rm km}^{-1}~{\rm s} $ }$ at the lowest density explored of $10^4~\3cm$, respectively. There is also a narrower temperature region (around 20 K) with densities higher than $10^6~\3cm$, where solutions for the observed ratios and intensities are also possible. The optical depths $\tau$ of each line are summarized in Table 5.

All the solutions are found for temperatures higher than 20 K, with a clear degeneracy between the kinetic temperature and molecular hydrogen density. That is, a given column density can be obtained with either high $T_{\rm K}$ and low ${n_{\rm H}}2$, or low $T_{\rm K}$ and high ${n_{\rm H}}2$.

A.2 The physical environment of HNC

 \begin{figure}
\par\includegraphics[width=6.6cm,clip]{12350f06.eps}\par\vspace*{2mm}
\includegraphics[width=6.6cm,clip]{12350f07.eps}
\end{figure} Figure A.1:

Top: excitation conditions modeled for the $\frac{3-2}{1-0}$ and $\frac{4-3}{3-2}$ line ratios of HCN. The contour lines correspond to the mean column density of HCN per line width ( $N(\rm {HCN})/\Delta\upsilon~\hbox{${\rm cm}^{-2}~{\rm km}^{-1}~{\rm s} $ }$), in the region where the estimated line ratios and the J=3-2 line intensity reproduce, within $1\sigma $, the observed values. Bottom: transversal cuts of the column density per line width at different temperatures modeled above. The column densities are of the order of $10^{14}~\hbox{${\rm cm}^{-2}~{\rm km}^{-1}~{\rm s} $ }$, in linear scale.

Open with DEXTER

In the case of the double peak structure observed in the lower transition lines of HNC, only the main peak (at velocity $\sim$$1073\pm13$  ${\rm km~s}^{-1}$) was considered in the analysis, since this is the component that is closer to the central velocity observed in the HNC J=4-3 line.

The top panel of Fig. A.2 shows all the excitation conditions for which the observed HNC $\frac{3-2}{1-0}$ and HNC $\frac{4-3}{3-2}$ line ratios and the intensity of the HNC J=3-2 line can be reproduced within $1\sigma $. The mean column density of HNC per line width ( $N(\rm {HNC})/\Delta\upsilon~\hbox{${\rm cm}^{-2}~{\rm km}^{-1}~{\rm s} $ }$) is shown in the contour plot. The bottom panel of Fig. A.2 shows how the column density changes with ${n_{\rm H}}2$ at different temperatures. The corresponding error bars ranges are 6.4%-35.9% at 30 K, 7.6%-32.3% at 50 K, and 8.3%-26.0% at 70 K. The error bars decrease towards the higher ${n_{\rm H}}2$ densities.

The estimated $N(\rm {HNC})/\Delta\upsilon~\hbox{${\rm cm}^{-2}~{\rm km}^{-1}~{\rm s} $ }$ column density per line width ranges between $10^{12.8}~\hbox{${\rm cm}^{-2}~{\rm km}^{-1}~{\rm s} $ }$ and $10^{15.4}~\hbox{${\rm cm}^{-2}~{\rm km}^{-1}~{\rm s} $ }$. The ${n_{\rm H}}2$ densities required to reproduce these ratios range from $10^4~\3cm$ (and probably lower than that, when considering higher temperatures outside of our explored grid) and $10^7~\3cm$ at temperatures of about 10 K. A summary of the corresponding optical depth $\tau$ can be found in Table 5.

In contrast with HCN, the temperatures at which solutions can be found for HNC are limited up to about 90 K, for the lowest densities explored. At a density of $10^{5.5}~\3cm$, $T_{\rm K}$ ranges between 10 K and 70 K. But at densities $\ge$$10^6~\3cm$ only temperatures lower than 30 K are allowed.

 \begin{figure}
\par\includegraphics[width=6.6cm,clip]{12350f08.eps}\par\vspace*{2mm}
\includegraphics[width=6.6cm,clip]{12350f09.eps}
\end{figure} Figure A.2:

Top: excitation conditions modeled for the $\frac{3-2}{1-0}$ and $\frac{4-3}{3-2}$ line ratios of HNC. The contour lines correspond to the mean column density of HNC per line width ( $N(\rm {HNC})/\Delta\upsilon~\hbox{${\rm cm}^{-2}~{\rm km}^{-1}~{\rm s} $ }$), in the region where the estimated line ratios and the J=3-2 line intensity reproduce, within $1\sigma $, the observed values. Bottom: transversal cuts of the column density per line width at different temperatures modeled above. The column densities are of the order of $10^{14}~\hbox{${\rm cm}^{-2}~{\rm km}^{-1}~{\rm s} $ }$, in linear scale.

Open with DEXTER

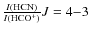
A.3 The physical environment of HCO+

Using the common source size of 1.5'' and the starburst contribution factor of 0.45 in the HCO+ J=1-0 line, our model is not able to reproduce the observed HCO+  $\frac{3-2}{1-0}$ line ratio and HCO+ J=3-2 line intensity. The top panel of Fig. A.3 shows the mean column density of HCO+per line width ( $N(\rm {HCO^+})/\Delta\upsilon~\hbox{${\rm cm}^{-2}~{\rm km}^{-1}~{\rm s} $ }$) modeled for the HCO+  $\frac{4-3}{3-2}$ line ratio and HCO+ J=3-2 line intensity. The bottom panel of Fig. A.3 shows how the column density changes with ${n_{\rm H}}2$ at different temperatures. The corresponding error bars ranges are 29.9%-30.1% at 50 K, and 29.3%-30.0% at 70 K, and 29.0%-30.1% at 90 K. In this case the error bars decrease towards the lower ${n_{\rm H}}2$ densities.

The model shows that the high-J lines trace gas with densities larger than $10^{5.9}~\3cm$ and temperatures larger than 30 K. Solutions with temperatures lower than 30 K could also be found at densities larger than those explored in this work ( ${n_{\rm H}}2>10^7~\3cm$). The columns range from $10^{11.9}~\hbox{${\rm cm}^{-2}~{\rm km}^{-1}~{\rm s} $ }$ to $10^{12.2}~\hbox{${\rm cm}^{-2}~{\rm km}^{-1}~{\rm s} $ }$, and both lines are optically thin ( $\tau\le10^{-1.2}$) over the whole range of columns (Table 5). The analysis of the uncertainties in the HCO+ model is discussed in the Appendix B.2.

 \begin{figure}
\par\includegraphics[width=6.6cm,clip]{12350f10.eps}\par\vspace*{2mm}
\includegraphics[width=6.6cm,clip]{12350f11.eps}
\end{figure} Figure A.3:

Top: excitation conditions modeled for the $\frac{4-3}{3-2}$ line ratio of HCO+. The contour lines correspond to the mean column density of HCO+per line width ( $N(\rm {HCO^+})/\Delta\upsilon~\hbox{${\rm cm}^{-2}~{\rm km}^{-1}~{\rm s} $ }$), in the region where the estimated line ratios and the J=3-2 line intensity reproduce, within $1\sigma $, the observed values. Bottom: transversal cuts at different temperatures of the column density per line width modeled above. The column densities are of the order of $10^{11}~\hbox{${\rm cm}^{-2}~{\rm km}^{-1}~{\rm s} $ }$, in linear scale.

Open with DEXTER

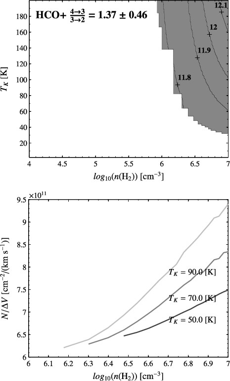
A.4 The physical environment of CN

Only the main spingroups of each transition were considered for modelling the physical conditions of CN. The hyperfine structure of CN is not included in the model. Hence, the radiative lines of CN are described just by the quantum numbers N and J. The collisional data are the same as used by Fuente et al. (1995).

The excitation conditions derived from the two line ratios with the one-phase model (with a source size of 1.5'') are shown in the top panel of Fig. A.4. In contrast with HCN and HNC, these conditions overlap just in an small region, with a narrow temperature range. At the lowest density for which solutions are found ( $n(\rm H_2)=10^{5.2}~\3cm$), the kinetic temperature of the gas $T_{\rm K}$ is between 14 K and 16 K. At higher densities ( $n(\rm H_2)\ge10^7~\3cm$) the gas can be as cold as 10 K.

The bottom panel of Fig. A.4 shows how the column density changes with ${n_{\rm H}}2$ at $T_{\rm K}=14$ K. The dashed lines correspond to the upper and lower limits of $N(\rm {HCO^+})/\Delta\upsilon~\hbox{${\rm cm}^{-2}~{\rm km}^{-1}~{\rm s} $ }$. Note that for $n(\rm H_2)=10^{5.2}~\3cm$ and $n({\rm H_2})=10^7~\3cm$ the limits converge, which means there is only one solution at $T_{\rm K}=14$ K for those densities.

The column densities per line width have a lower limit of about $10^{14}~\hbox{${\rm cm}^{-2}~{\rm km}^{-1}~{\rm s} $ }$ at $n({\rm H_2})=10^7~\3cm$ and an upper limit of $10^{15.6}~\hbox{${\rm cm}^{-2}~{\rm km}^{-1}~{\rm s} $ }$ at a density of $10^{4.7}~\3cm$. The corresponding optical depths of each line can be found in Table 5.

 \begin{figure}
\par\includegraphics[width=6.6cm,clip]{12350f12.eps}\par\vspace*{2mm}
\includegraphics[width=6.6cm,clip]{12350f13.eps}
\end{figure} Figure A.4:

Top: excitation conditions modeled for the $\frac{2_{5/2}-1_{3/2}}{1_{3/2}-0_{1/2}}$ and $\frac{3_{5/2}-2_{5/2}}{2_{5/2}-1_{3/2}}$ line ratios of CN. The contour lines correspond to the mean column density of CN per line width ( $N(\rm{CN})/\Delta\upsilon~\hbox{${\rm cm}^{-2}~{\rm km}^{-1}~{\rm s} $ }$) in the region where the estimated line ratios and the NJ=25/2-13/2 line intensity reproduce, within $1\sigma $, the observed values. Bottom: transversal cut at $T_{\rm K}=14$ K of the column density per line width modeled above. The values are of the order of $10^{15}~\hbox{${\rm cm}^{-2}~{\rm km}^{-1}~{\rm s} $ }$, in linear scale. The dashed lines correspond to the upper and lower limits of $N(\rm{CN})/\Delta\upsilon~\hbox{${\rm cm}^{-2}~{\rm km}^{-1}~{\rm s} $ }$.

Open with DEXTER

Besides molecular hydrogen, we also explore the effects of electrons as a second collision partner for CN. These could be significant both in PDR and XDR environments, due to enhancement of the ionization degree by radiation. The collision rates are the same as used in Black & Van Dishoeck (1991), and were obtained from Black (private communication). These rates are available only for $T_{\rm K}=20$ K.

In a PDR environment, the CN emissivity peaks at a total hydrogen column density of about $10^{21.5}{-}10^{22}~\2cm$. At these depths the electron abundance is $\sim$10-5, and the CN column density is of the order of $10^{14}~\2cm$. We found that for densities $n(\rm {H}_2)\ge10^4~\3cm$ the effect of collisions between CN and electrons is negligible.

The only region where the electron abundance can be larger is at the edge of a PDR cloud, that is $N_{\rm H}\le10^{21.5}~\2cm$. There the electron abundance is still about four orders of magnitude lower than the total hydrogen density, but it can be at least two orders of magnitude larger than the H2 density (Meijerink & Spaans 2005). At those shallow depths, however, the column of CN is not significant ( $N(\rm {CN})\le10^{10}~\2cm$). In order to boost the electron abundance to higher levels, in the region where most of the CN emission originates, we would require a gas phase carbon abundance of about 3-4 times Solar. However, these higher abundances are not supported by other works (e.g. Kraemer et al. 1998)

In an XDR, the ambient conditions along the cloud are different than those found in a PDR, with larger ( 10-2-10-4) relative electron abundances (Meijerink & Spaans 2005). In the main emitting region ( $N(\rm {H})\ge10^{22}~\2cm$) the electron density n(e-) is expected to be about 10 $\3cm$ if $n(\rm {H}_2)\sim10^5~\3cm$. These densities produce changes of the order of 10% in the excitation temperatures $T_{\rm ex}$ of CN, with respect to those obtained when using only H2 as collision partner, and the column density $N(\rm CN)$ has to decrease with about 50% to get the same line strengths.

Hence, the effect of electrons as secondary collision partner of CN, is not important in a PDR environment. In an XDR environment, small effects can be expected.

Appendix B: Analysis of the uncertainties

We analyze here how the uncertainties in the input parameters of our models (4-3/3-2, 3-2/1-0 line ratios and the J=3-2 line intensities) propagates to the solutions we find. The two main uncertainties in our models are the estimated common source size ( $\theta _{\rm S}=1.5''$) for all the molecules and transitions, and the first order estimate of the starburst contribution factor $f_{\rm SB}$ for the J=1-0 lines. The starburst contribution factor affects only the $\frac{3-2}{1-0}$ line ratios which in turn will modify, to some extent, the combination of temperatures ($T_{\rm K}$), densities ( ${n_{\rm H}}2$) and column densities (N) for which solutions are found. On the other hand, the source size affects mostly the J=3-2 line intensities (used to constrain the radiative transfer models) which in turn affect mostly the range of temperature and column densities of the solutions. The source size is also present in the 4-3/3-2 and 3-2/1-0 line ratios, as we correct these lines for beam dilution. However, because the source size is about one order of magnitude smaller than the size of the respective beams, its effect in the line ratios is negligible.

The solutions for the HCN and HNC line ratios are less sensitive to these two parameters since the range of temperatures and densities for which solutions exist is large enough (which allows for more flexibility in the $T_{\rm K}$ vs. ${n_{\rm H}}2$ space) and because the $\frac{4-3}{3-2}$ line ratios, which basically define and constrain the overlap with the solutions found for the ratio between the lower-J lines, are independent of $f_{\rm SB}$. The effect is reflected mostly in the column densities per line width due to changes in the source size.

 \begin{figure}
\par\includegraphics[width=6.6cm,clip]{12350f14.eps}
\end{figure} Figure B.1:

Excitation conditions modeled for the $\frac{2_{5/2}-1_{3/2}}{1_{3/2}-0_{1/2}}$ and $\frac{3_{5/2}-2_{5/2}}{2_{5/2}-1_{3/2}}$ line ratios of CN, using a source size of 1''. The contour lines are as defined before. Considering this smaller source size, the range of temperatures where solutions are found can go up to 100 K, and densities can be as low as $10^{4.5}~\3cm$.

Open with DEXTER

B.1 Uncertainties in CN

The solutions for CN are particularly sensitive to the source size. As mentioned before, the starburst contribution factor affects only the ratio between the lower J-lines. The range of $T_{\rm K}$ and ${n_{\rm H}}2$ for which we find solutions for the CN $\frac{3_{5/2}-2_{5/2}}{2_{5/2}-1_{3/2}}$ line ratio is smaller than that for the $\frac{2_{5/2}-1_{3/2}}{1_{3/2}-0_{1/2}}$ ratio. Hence, the final solutions for CN (given by the overlap between the solutions found separately for the ratios between the low-J lines and the high-J lines) is constrained by the solutions found for the $\frac{3_{5/2}-2_{5/2}}{2_{5/2}-1_{3/2}}$ line ratio.

Because the solutions found for the CN are already constrained, little changes in the source size have a larger impact than for HCN and HNC. If we assume a larger source size of 2'', the solutions for CN are restricted to an small range of temperature around $10\pm4$ K and for densities between $10^{5.7}~\3cm$ and $10^{6.6}~\3cm$. On the other hand, if we assume an smaller source size of 1'', the solutions for CN line ratios can be found in a larger region of $T_{\rm K}$ and ${n_{\rm H}}2$ than those found for a source size of 1.5'', as shown in Fig. B.1. The smaller source size of 1'' increases the estimated CN NJ=25/2-13/2 radiation temperature by a factor 2.25, which is reflected mostly in the range of kinetic temperatures at which we can find solutions for the observed line ratios. When using $\theta _{\rm S}=1.5''$ the maximum temperature where solutions can be found is 20 K, at a density of $10^{5.3}~\3cm$ (Fig. A.4). But when using an smaller source size (Fig. B.1) the temperature range can go from 20 K up to 100 K, at the same density.

 \begin{figure}
\par\includegraphics[width=6.6cm,clip]{12350f15.eps}\par\vspace*{...
...ar\vspace*{2mm}
\includegraphics[width=6.6cm,clip]{12350f17.eps}
\end{figure} Figure B.2:

Top: excitation conditions modeled for the $\frac{3-2}{1-0}$ line ratio of HCO+, when considering the estimated starburst contribution factor $f_{\rm SB}=0.45$, but a larger source size $\theta _{\rm S}=2''$. Middle: excitation conditions modeled for the $\frac{3-2}{1-0}$ line ratio of HCO+, when considering a larger starburst contribution factor $f_{\rm SB}=0.60$, and the common source size $\theta _{\rm S}=1.5''$. Bottom: excitation conditions modeled for the $\frac{4-3}{3-2}$ line ratio of HCO+, when reducing the HCO+ J=4-3 line intensity by a factor 1.5. The higher transition J=4-3 still traces mostly the dense and warm gas ( ${n_{\rm H}}2\ge 10^{5.4}~\3cm$, $T_{\rm K}\ge 20$ K), whereas the $\frac{3-2}{1-0}$ line ratio indicates that those lines would trace less dense ( ${n_{\rm H}}2<10^{5.2}~\3cm$) and cold (10 K $< T_{\rm K} <$ 30 K) gas.

Open with DEXTER

B.2 Uncertainties in HCO+

On the other hand, the HCO+  $\frac{3-2}{1-0}$ is affected by both, $\theta_{\rm S}$ and $f_{\rm SB}$, and the fact that we do not find solutions for this ratio may be due to the uncertainties in these two parameters. We explored different alternatives and we found that our model can reproduce the observed ratio, and HCO+ J=3-2 line intensity, if we assume either a larger source size ( $\theta _{\rm S}=2''$), or a larger starburst contribution factor ( $f_{\rm SB}=0.60$). The results are shown in the top and middle panels of Fig. B.2. A larger starburst contribution factor increases the HCO+  $\frac{3-2}{1-0}$ line ratio, and allows for solutions at slightly higher temperatures than assuming a larger source size. Note that in both cases solutions for densities <$10^4~\3cm$ are also possible. This result, however, rises a new question since these solutions do not overlap with the solutions found for the HCO+  $\frac{4-3}{3-2}$ ratio (Fig. A.3).

The fact that the ratio between the higher transition lines traces denser ( ${n_{\rm H}}2>10^{5.9}~\3cm$) and warmer ( $T_{\rm K}>30$ K) gas than what the lower transition lines would indicate, and that they do not overlap either with the solutions found for HCN, HNC or CN, may raise some skepticism about the HCO+ J=4-3 line. So we also explored the results of our model, assuming that the HCO+ J=4-3 line could be somehow overestimated (e.g., undetected calibration problems, or intrinsic instrumental differences, like sensitivities, between the JCMT and the IRAM 30 m telescopes).

In Sect. 2 we mentioned that HARP observations of the calibration source showed less flux than the reference spectra observed with the former receiver B3. Those differences account for factors between 1.1 and 1.5, that where used to correct each of our scans before adding them up. So, if we reduce the final HCO+ J=4-3 line by a factor 1.5 (which would be the worst case scenario) the HCO+  $\frac{4-3}{3-2}$ line ratio reduces to $0.91\pm0.31$ and the new solutions would be as shown in the bottom panel of Fig. B.2. It can be seen that, even in this worst case scenario, there would not be an overlap between the solutions found for the ratio between the lower J lines and those found for the higher J lines.

This result would imply that the lower and higher J-lines of HCO+ trace different gas phases, and a single-phase model may not be the most appropriate to reproduce the observed HCO+ ratios and intensities. Hence, a two-phase model, where different sizes of the emitting region could be seen by different J lines, may be a better approach for HCO+. In fact, Krips et al. (2008) mentioned that the size of the emitting region decreases with increasing J line, according to recent SMA data. A multiple-phase model can also be applied to the HCN, HNC and CN molecules. Among molecules, those which are easily dissociated should have small sizes. Hence, a decreasing source size with increasing J line seems natural. However, the only way to constrain these models would be by using interferometer maps (fluxes, beam deconvolution, etc.) to accurately estimate the actual source size seen by the different J lines. Nevertheless, this is a task that is beyond the scope of this work.

Appendix C: Line intensity and abundance ratios

The line intensity ratios, with respect to HCN, are summarized in Table C.1. The intensities used correspond to the peak antenna temperature of the main component of the Gaussian fits, corrected for starburst contribution, beam efficiency, and beam dilution, assuming a source size of 1.5'' for all the lines. We also find that most of the line intensity ratios (the HCO+/HCNJ=4-3 ratio is the exception that is discussed below) decrease with increasing rotational quantum number J, similar to what was found by Krips et al. (2008) for the HCN/CO ratio. This was also noticed for the HNC/HCN J=1-0 and J=3-2 line ratios observed in NGC 1068, and other Seyfert galaxies, by Pérez-Beaupuits et al. (2007). Since the beam sizes are comparable, this could be an indication that the higher-J levels of CN and HNC are less populated than those of HCN.

This is what we would expect assuming collisional excitation of the molecules, where $T_{\rm ex}$ is proportional to $\tau\times n(\rm H_2)$. From the excitation conditions modeled in Sect. 4.3, the HNC column densities, and hence $\tau_{\rm HNC}$, tend to be lower than that of HCN. On the other hand, even if the column densities that we find for CN are as high (or higher in some cases) than the columns found for HCN, the optical depth $\tau_{\rm CN}$ tends to be lower than $\tau_{\rm HCN}$ because of the higher (fine and hyperfine) splitting of the rotational levels of CN. Thus, the high energy levels of CN and HNC would be less populated than those of HCN.

In the following sections we address the relative abundance issue by estimating the abundance ratio as the ratio between the column densities estimated from the radiative transfer models described before.

Table C.1:   Line intensity ratios between molecules.

C.1 HNC/HCN

The range of temperatures where we can analyze the HNC/HCN ratio is limited by the solutions found for HNC, which go up to $\sim$90 K at the lowest density explored ( ${n_{\rm H}}2=10^4~\3cm$). The top panel in Fig. C.1 shows the mean $N(\rm {HNC})/N(\rm {HCN})$ column density ratio for the temperatures and densities where the solutions found for each molecule (top panels of Figs. A.2 and A.1) overlap. The mean column density ratio ranges between 0.10 and 0.18, with errors that vary between 30% and 55% of the mean value. Note that similar ratios can be found at two different temperatures for a particular density. The bottom panel in Fig. C.1 shows the mean value, and corresponding upper and lower limits, of the $N(\rm {HNC})/N(\rm {HCN})$ ratio at 20 K and 50 K. At these temperatures the ratios are quite similar (within 15%) for the density range ${n_{\rm H}}2=10^{5.3-5.7}~\3cm$.

The fact that the line intensity ratios (Table C.1) are also lower than unity, indicates that the bulk of the HNC and HCN emission emerges from warm gas ( $T_{\rm K}>30$ K). This agrees with observations in the vicinity of the hot core of Orion KL, and experimental and theoretical data, where the HNC/HCN line ratio decreases as the temperature and density increase (e.g. Schilke et al. 1992; Talbi et al. 1996; Tachikawa et al. 2003).

On the other hand, the ratios $N(\rm {HNC})/\textit{N}(\rm {HCN})<1$ estimated with our models cannot be directly interpreted as a signature of a pure PDR or XDR environment in the CND of NGC 1068. The HNC abundance can be decreased due to temperatures higher than traditionally expected, produced deep inside a molecular cloud by mechanisms other than radiation, like turbulence and shocks (Loenen et al. 2008). If the temperature is higher than 100 K, the conversion of HNC into HCN is more efficient and HNC is suppressed (Schilke et al. 1992; Talbi et al. 1996). These high temperatures are not found in regions where the abundance of HCN and HNC is high enough to be detected, for traditional PDR or XDR models (Meijerink & Spaans 2005). The high SiO abundance observed in the CND of NGC 1068 can be a direct evidence of the possible contributions from mechanical heating (shocks) and dust grain chemistry induced by X-rays (García-Burillo et al. 2008). Hence, a more elaborated PDR/XDR model that includes both mechanical heating and grain surface chemistry will be needed to further understand the results of our radiative transfer models.

 \begin{figure}
\par\includegraphics[width=6.6cm,clip]{12350f18.eps}\par\vspace*{2mm}
\includegraphics[width=6.6cm,clip]{12350f19.eps}
\end{figure} Figure C.1:

Top: ratios between the mean column densities of HNC and HCN ( $N(\rm {HNC})/N(\rm {HCN})$). Bottom: transversal cut of the ratios at different temperatures. The dashed and dashed-dot lines correspond to the upper and lower limits of the ratios at 20 K and 50 K, respectively.

Open with DEXTER

C.2 CN/HCN

 \begin{figure}
\par\includegraphics[width=6.6cm,clip]{12350f20.eps}\par\vspace*{...
...ar\vspace*{2mm}
\includegraphics[width=6.6cm,clip]{12350f22.eps}
\end{figure} Figure C.2:

Top: the $N({\rm CN})/N({\rm HCN})$) column density ratios for the small range of density at $T_{\rm K}=18$ K, where the physical conditions found for CN and HCN overlap when using the one-phase model with $\theta _{\rm S}=1.5''$. Middle: ratios between the mean column densities of CN and HCN, when using a source size $\theta _{\rm S}=1''$ for CN. Bottom: transversal cuts, at different temperatures, of the ratios showed in the middle panel. The dotted, dashed-dotted and dashed lines correspond to the upper and lower limits of the ratios at 18 K, 30 K and 50 K, respectively.

Open with DEXTER

When using the one-phase model with a source size $\theta _{\rm S}=1.5''$, the physical conditions estimated for the CN and HCN molecules (top panel in Figs. A.4 and A.1) overlap only in an small region around ${n_{\rm H}}2\sim10^{5.5}~\3cm$ and $T_{\rm K}\sim20$ K. The top panel in Fig. C.2 shows the mean $N({\rm CN})/N({\rm HCN})$ column density ratio and the corresponding upper and lower limits. The maximum ratio of $0.93\pm0.07$ is found at ${n_{\rm H}}2\sim10^{5.4}~\3cm$. The ratio decreases almost linearly with density (while the uncertainty increases), and it reaches the minimum ratio of $0.73\pm0.2$, with a larger uncertainty of $\sim$$29\%$, at a density of ${n_{\rm H}}2\sim10^{5.5}~\3cm$. The ratio then increases slowly, with a constant uncertainty, up to $0.76\pm0.2$ at ${n_{\rm H}}2\sim10^{5.7}~\3cm$.

If we assume a larger source size $\theta _{\rm S}=2''$ for CN, the solutions obtained do not overlap with those found for HCN. However, when using an smaller source size $\theta _{\rm S}=1''$ for CN, there is a large overlap in the physical conditions found for these molecules (top panel in Figs. B.1 and A.1). The middle panel in Fig. C.2 shows the mean $N({\rm CN})/N({\rm HCN})$ column density ratio for the new model. The new mean column density ratios now range between $\sim$2 and $\sim$4, with errors that vary between 20% and 50% of the mean value. The maximum mean ratios ($\ge$3.6) are found at a density of $\sim$$10^6~\3cm$ and temperatures between 40 K and 60 K, while the minimum mean ratios (<2.3) can be found at a larger density range of ${n_{\rm H}}2\sim10^{5-6}~\3cm$ but at lower temperatures ( $T_{\rm K}<30$ K).

The bottom panel in Fig. C.2 shows the mean value, and corresponding upper and lower limits, of the $N({\rm CN})/N({\rm HCN})$ ratio at 18 K, 30 K and 50 K. At $T_{\rm K}=18$ K the new ratios (with uncertainties ranging from 23.6% to 26.5%) are larger (ranging between 3 and 4) and are found at a higher density range ( ${n_{\rm H}}2>10^{6.6}~\3cm$) than in the 1.5'' source size model. On the other hand, at densities between $10^5~\3cm$ and $10^6~\3cm$ the ratios found for 30 K and 50 K are very similar (within 10%), but the uncertainties of the ratios at $T_{\rm K}=30$ K are larger (63.6%-72.4%) than those for $T_{\rm K}=50$ K (39.0%-43.7%). These larger uncertainties for the ratios at $T_{\rm K}=30$ K imply that the corresponding upper limits increase to values >5 at a density ${n_{\rm H}}2\sim10^{5.6}~\3cm$. Note that the uncertainties at $T_{\rm K}=30~K$, and hence the upper limits, decrease for densities < $10^{5.1}~\3cm$.

The mean column density ratios estimated with $\theta _{\rm S}=1.5''$ can be easily found in an XDR environment, but the predominance of this component cannot be concluded from the $N({\rm CN})/N({\rm HCN})$ ratio only, since ratios $\sim$1.0 are also expected in a PDR component (Lepp & Dalgarno 1996; Meijerink et al. 2007). The mean column density ratios $2\la N({\rm CN})/N({\rm HCN})\la 4$ estimated with $\theta _{\rm S}=1''$, are tentatively more consistent with an XDR/AGN environments (Lepp & Dalgarno 1996; Meijerink et al. 2007). However, these and higher [CN]/[HCN] abundance ratios have also been found in PDR/starburst scenarios (e.g. Fuente et al. 2005). The fact that we find a relatively low $N({\rm CN})/N({\rm HCN})$ column density ratio, with respect to what would be expected in a pure XDR scenario, could be explained by an overabundance of HCN due to the grain-surface chemistry suggested by García-Burillo et al. (2008).

Nevertheless, assuming an smaller emitting region for CN than for HCN introduces a new question regarding the chemistry/physics driving the formation (or destruction) of these two molecules. If this is the case, then we would need to explain why CN is absent in the hypothetically more extended region covered by HCN. Perhaps this scenario could also be explained by the possible contributions from mechanical heating and dust grain chemistry suggested in Loenen et al. (2008) and García-Burillo et al. (2008). However, exploring this alternative would require high resolution maps of at least SiO, HCN, CN and HNC, in addition to a composite mechanical heating, X-rays and dust-grain chemistry model, to properly account for the different contributing scenarios. This is an study that can be addressed in a follow up work.

C.3 HCO+/HCN

Figure A.3 indicates that the emission from the high-J HCO+ lines emerge from gas that does not co-exist with HCN, HNC and CN, in the nuclear region of NGC 1068. The column density ( $10^{11.9}-10^{12.2}~\hbox{${\rm cm}^{-2}~{\rm km}^{-1}~{\rm s} $ }$) estimated from the HCO+ $\frac{4-3}{3-2}$ ratio, and the possible solutions found for the HCO+ $\frac{3-2}{1-0}$ ratio (top panels of Fig. B.2), also indicates that the warmer and denser gas traced by the high-J lines is only an small fraction (0.5%-10%) of the total HCO+ gas. Most of it is confined to the lower transitions.

The main reason for the lack of co-existence is the HCO+ J=4-3 line. The possible solutions found for the HCO+ $\frac{3-2}{1-0}$ ratio, considering the uncertainties, would be consistent, in terms of density, with the HCN and HNC molecules, albeit at somewhat lower temperature. However, if we consider a larger source size of about 2'' (as shown in Sect. 4.3), the HCO+ J=3-2 line intensity will decrease, and solutions for temperatures up to 30 K (at densities of a few times $10^4~\3cm$) will be possible, and the solutions for the high-J ratio will require just slightly lower ( $N(\rm HCO^+)\sim10^{11.7-12.0}~\hbox{${\rm cm}^{-2}~{\rm km}^{-1}~{\rm s} $ }$) column densities per line width. Hence, the HCO+ J=4-3 line seems to indicate a different gas phase.

Krips et al. (2008) found that the HCN/CO line intensity ratios decrease with increasing rotational quantum number J, for AGN dominated galaxies, including NGC 1068. We find the same trend in the HNC/HCN and CN/HCN line intensity ratios (Table C.1). The HCO+/HCN ratio, however, defies this trend. Interestingly, the higher-J levels of HCO+ may be more populated than its lower levels due to a local X-ray source (Meijerink et al. 2007). This result is consistent with an XDR, given that in strongly irradiated dense XDRs the HCO+ column builds up with depth to high values before the HCN does. Hence, the column weighted temperature of the HCO+ molecule is higher, from which the HCO+ J=4-3 line benefits. The HCN behavior with depth is more gradual, avoiding the strong separation between the low and high-J lines (e.g., Fig. 9 of Meijerink & Spaans 2005).

The J=4-3 line ratio between the peak intensities of HCN and HCO+ (the inverse value is shown in Table 6) is about $\sim$2.7, and is consistent with the ratio reported by Kohno et al. (2001). Instead, the velocity-integrated intensity ratio $\frac{I({\rm HCN})}{I(\rm HCO^+)} J=4{-}3$ is $\sim$3.7 (from Table 3), which is larger than the ratio between the peak intensities due to the smaller line width of the HCO+ J=4-3 line. This number is right above the maximum value shown in Fig. 3 of Kohno (2005). Interestingly, this places NGC 1068 in a distinguished position within the Kohno diagram, among their pure AGNs.


Current usage metrics show cumulative count of Article Views (full-text article views including HTML views, PDF and ePub downloads, according to the available data) and Abstracts Views on Vision4Press platform.

Data correspond to usage on the plateform after 2015. The current usage metrics is available 48-96 hours after online publication and is updated daily on week days.

Initial download of the metrics may take a while.