Highlight
Free Access
Issue
A&A
Volume 508, Number 3, December IV 2009
Page(s) L35 - L38
Section Letters
DOI https://doi.org/10.1051/0004-6361/200913605
Published online 04 December 2009

Online Material

\begin{figure}\par\includegraphics[width=18cm]{13605fg5.eps}
\includegraphics[...
...th=18cm]{13605fg7.eps}
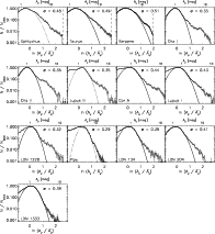
\includegraphics[width=18cm]{13605fg8.eps} \end{figure} Figure 4:

Probability density functions (PDFs) of a normalised column density for 13 star-forming clouds in the study. The error bars show the $\sqrt {N}$ uncertainties. Solid lines show the fits of lognormal functions to the distributions around the peak, typically over the range $\ln{A_v/\overline{A}_V}=[-0.5, 1]$. The dispersion of the fitted function is shown in the panels. For some clouds, no reasonable fit was achieved over any AV range. For those clouds, we show for a reference a function approximating the shape using a dotted line. The x-axis on top of the panels shows the extinction scale in magnitudes.

Open with DEXTER

\begin{figure}\par\includegraphics[width=18cm]{13605fg9.eps}
\includegraphics[width=18cm]{13605f10.eps} \end{figure} Figure 5:

Same as Fig. 4, but for clouds we classify as clouds not containing active star formation.

Open with DEXTER

\begin{figure}\par\includegraphics[width=18cm]{13605f11.eps}
\par\end{figure} Figure 6:

Same as Fig. 4, but for clouds at varying distances of 250-700 pc. The PDFs are smoothed to the common physical resolution of 0.6 pc. For Cepheus, two equally good fits are shown.

Open with DEXTER

Current usage metrics show cumulative count of Article Views (full-text article views including HTML views, PDF and ePub downloads, according to the available data) and Abstracts Views on Vision4Press platform.

Data correspond to usage on the plateform after 2015. The current usage metrics is available 48-96 hours after online publication and is updated daily on week days.

Initial download of the metrics may take a while.