Free Access
Issue
A&A
Volume 514, May 2010
Article Number L3
Number of page(s) 6
Section Letters
DOI https://doi.org/10.1051/0004-6361/201014434
Published online 18 May 2010

Online Material

Appendix A: Supplementary electronic material

\begin{figure}
\par\includegraphics[width=9cm,clip]{14434f2a.ps}
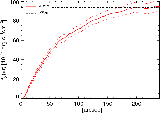
\end{figure} Figure A.1:

The growth curve of SPT-CL J2332-5358: red curve shows the integrated flux as a function of outer integration radius for the MOS2 camera in the 0.5-2.0 keV band. Error bars on the growth curve indicate the Poisson error of the flux measurement including a 5% systematic error in the background estimation. Source flux is detected out to $196\hbox {$^{\prime \prime }$ }$ ( $r_{{\rm plat}}$, dashed line). The total measured flux in this aperture and band is $F_{{\rm plat}} = 9.4 \pm 0.5 \times 10^{-13}$ erg s-1 cm-2 (horizontal dot-dashed level). We omitted the use of the pn and MOS1 camera for the growth curve analysis (see Sect. 2.2).

Open with DEXTER

\begin{figure}
\par\includegraphics[width=9cm,clip]{14434f3a.ps}
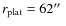
\end{figure} Figure A.2:

The growth curve of SPT-CL J2342-5411: red curve shows the integrated flux as a function of outer integration radius for the joint MOS1 and MOS2 cameras (0.5-2.0 keV band), blue curve for the pn camera. Error bars on the growth curve indicate the Poisson error of the flux measurement including a 5% systematic error in the background estimation. Source flux is detected out to $r_{{\rm plat}}=62\hbox {$^{\prime \prime }$ }$ (dashed line). The total measured flux, estimated as the weighted average of the MOS and pn plateau fluxes, is $F_{{\rm plat}} = 5.7 \pm 0.6 \times 10^{-14}$ erg s-1 cm-2 (dot-dashed level).

Open with DEXTER

The Appendix provides additional information concerning the X-ray analysis of SPT-CL J2332-5358 and SPT-CL J2342-5411.

\begin{figure}
\par\includegraphics[angle=-90,width=7.8cm,clip]{14434f4a.ps}
\end{figure} Figure A.3:

XMM-Newton X-ray spectrum of SPT-CL J2332-5358 fitted with a single temperature MEKAL model which gives T =9.3+3.3-1.9 keV. The column density is fixed to the galactic value $n_{{\rm H}} = 1.62 \times 10^{20}$ cm-2 (Dickey & Lockman 1990), the metal abundance to $Z=0.3~Z_{\hbox{$\odot$ }}$ and the redshift to z =0.32 (photometric). The spectra were binned only for display purposes, the fit was carried out with $\ge $1 cts/bin binning and C-statistic. Red: MOS1, black: MOS2, green: pn. See Sect. 2.2.1 for details.

Open with DEXTER

\begin{figure}
\par\includegraphics[angle=-90,width=7.8cm,clip]{14434f5a.ps}
\end{figure} Figure A.4:

XMM-Newton X-ray spectrum of SPT-CL J2342-5411. The available low-count spectrum (displayed for completeness) allows us to draw only tentative conclusions. The spectrum is consistent with a single temperature MEKAL model, with the temperature only weakly constrained to T =6.7+5.2-2.4 keV. The column density is fixed to the galactic value $n_{{\rm H}} = 1.86 \times 10^{20}$ cm-2 (Dickey & Lockman 1990), the metal abundance to $Z=0.3~Z_{\hbox{$\odot$ }}$ and the redshift to z =1.08 (photometric). The spectra were binned only for display purposes, the fit was carried out with $\ge $1 cts/bin binning and C-statistic. Red: MOS1, black: MOS2, green: pn. See Sect. 2.2.1 for details.

Open with DEXTER

\begin{figure}
\par\includegraphics[width=9cm,clip]{14434f6a.eps}\includegraphics[width=9cm,clip]{14434f6b.eps}
\end{figure} Figure A.5:

Left: color image of SPT-CL J2332-5358 (photo-z = 0.32). Right: color image of SPT-CL J2342-5411 (photo-z=1.08). Both images were obtained from the Blanco Cosmology Survey imaging in the gri bands. X-ray contours are overlaid in white. Green circles show the estimated r $_{{\rm plat}}$ (see Sect. 2.2). Both clusters have a large BCG (brightest cluster galaxy) within few arcseconds ( ${\lesssim }10\hbox {$^{\prime \prime }$ }$) from the X-ray emission peak.

Open with DEXTER

Current usage metrics show cumulative count of Article Views (full-text article views including HTML views, PDF and ePub downloads, according to the available data) and Abstracts Views on Vision4Press platform.

Data correspond to usage on the plateform after 2015. The current usage metrics is available 48-96 hours after online publication and is updated daily on week days.

Initial download of the metrics may take a while.