Free Access
Issue
A&A
Volume 515, June 2010
Article Number A77
Number of page(s) 26
Section Interstellar and circumstellar matter
DOI https://doi.org/10.1051/0004-6361/200913150
Published online 11 June 2010

Online Material

Appendix A: Observations

In Lupus, 15 single sources and the binary IK Lup & Sz 66 were observed with the Submillimeter Array (SMA) at about 1 mm. Furthermore, the binaries VV CrA and S CrA and the single source DG CrA in Corona Australis were observed with the SMA at about 1 mm. A full log of the SMA observations is given in Table A.1. The results of these observations are shown in Table B.1 and Fig. B.1.

With the Australia Telescope Compact Array (ATCA), 15 sources spread over the constellations Lupus, Vela, Corona Australis, and Chamaeleon were observed at 3 and 7 mm. A log of the ATCA observations is given in Table A.2.

The Combined Array for Research in Millimeter-wave Astronomy (CARMA) was used to observe eleven single sources and one binary in Serpens at 1 and 3 mm. The log of these observations is presented in Table A.3; the full results are given in Table B.3.

Finally, eight sources in Serpens were observed with the (Very Large Array) VLA at 7 mm and at 1.3, 3.6, and 6 cm. A full log of those observations is given in Table A.4.

Table A.1:   Overview of the SMA observations.

Table A.2:   Overview of the ATCA observations.

Table A.3:   Overview of the CARMA observations.

Table A.4:   Overview of the VLA observations.

Appendix B: Results

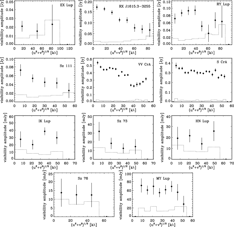
The complete results of the SMA observations are shown in Table B.1. The amplitude as a function of (uv) distance is plotted in Fig. B.1.

The complete results of the ATCA observations are shown in Table B.2. Several sources were observed at the same wavelength more than once. The data for those sources were co-added in the (uv) plane to improve the signal-to-noise ratio. The resulting fluxes or 3$\sigma$ upper limits are presented in Table 3 in the main text.

The binary VV CrA was not resolved with the ATCA at 3 or 7 mm using natural weighting, which is optimised for sensitivity. However, using uniform weighting, which is optimised for resolution, the binary could be resolved at 3 mm. The map is shown in Fig. B.2.

The amplitude as a function of (u, v) distance of the sources detected with the ATCA at 3 mm is plotted in Fig. B.3, that of the sources detected with the ATCA at 7 mm in Fig. B.4.

The complete results of the CARMA observations are shown in Table B.3. Data from tracks that could not be properly calibrated due to a weak gain calibrator are not included. Some sources were observed twice, once in the C and once in the D configuration. If good data were obtained in both occasions, they were co-added in the (uv) plane to improve the signal-to-noise ratio. The resulting fluxes or 3$\sigma$ upper limits are presented in Table 3 in the main text. The amplitude as a function of (uv) distance of the sources detected with CARMA at 1 mm is plotted in Fig. B.5, that of the sources detected with CARMA at 3 mm in Fig. B.6.

The complete results of the VLA observations are shown in Table B.4.

Table B.1:   Complete results of SMA observations at 1.3 mm.

Table B.2:   Complete results of ATCA observations at 3 and 7 mm.

Table B.3:   Complete results of CARMA observations at 1 and 3 mm.

Table B.4:   Complete results of VLA observations at 6.9 mm and 1.3, 3.5, and 6.2 cm.

\begin{figure}
\par\mbox{\includegraphics[width=5cm,clip]{13150fi9.eps}\includeg...
...eps}\includegraphics[width=5cm,clip]{13150f19.eps}\hspace*{2.5cm}}\end{figure} Figure B.1:

Amplitude as a function of (uv) distance for sources detected with the SMA at 1 mm.

Open with DEXTER

\begin{figure}
\includegraphics[width=7.8cm,clip]{13150f20.eps}
\end{figure} Figure B.2:

Image of VV CrA, observed at 3.2 mm on 2 and 3 August 2008. The offsets are with respect to the phase centre, which is located at 19:03:06.7, -37:12:49.7. The contours are at 2, 4, 6, ... times the rms of 2.0 mJy/bm; negative contours are dashed.

Open with DEXTER

\begin{figure}
\par\mbox{\includegraphics[width=5cm]{13150f21.eps}\includegraphi...
...space*{5cm}\includegraphics[width=5cm]{13150f27.eps}\hspace*{5cm}}\end{figure} Figure B.3:

Amplitude as a function of (uv) distance for sources detected with the ATCA at 3 mm.

Open with DEXTER

\begin{figure}
\par\mbox{\includegraphics[width=5cm]{13150f28.eps}\includegraphi...
...space*{5cm}\includegraphics[width=5cm]{13150f31.eps}\hspace*{5cm}}\end{figure} Figure B.4:

Amplitude as a function of (uv) distance for sources detected with the ATCA at 7 mm.

Open with DEXTER

\begin{figure}
\par\includegraphics[width=5cm]{13150f32.eps}\includegraphics[width=5cm]{13150f33.eps}
\end{figure} Figure B.5:

Amplitude as a function of (u, v) distance for sources detected with CARMA at 1 mm.

Open with DEXTER

\begin{figure}
\par\includegraphics[width=5cm]{13150f34.eps}\includegraphics[width=5cm]{13150f35.eps}\includegraphics[width=5cm]{13150f36.eps}
\end{figure} Figure B.6:

Amplitude as a function of (uv) distance for sources detected with CARMA at 3 mm.

Open with DEXTER

Current usage metrics show cumulative count of Article Views (full-text article views including HTML views, PDF and ePub downloads, according to the available data) and Abstracts Views on Vision4Press platform.

Data correspond to usage on the plateform after 2015. The current usage metrics is available 48-96 hours after online publication and is updated daily on week days.

Initial download of the metrics may take a while.