| Issue |
A&A
Volume 516, June-July 2010
|
|
|---|---|---|
| Article Number | A32 | |
| Number of page(s) | 20 | |
| Section | Cosmology (including clusters of galaxies) | |
| DOI | https://doi.org/10.1051/0004-6361/200912496 | |
| Published online | 23 June 2010 | |
Online Material
Appendix A: Surface brightness and temperature profiles
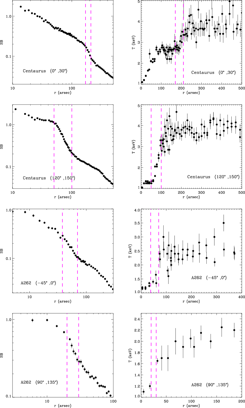
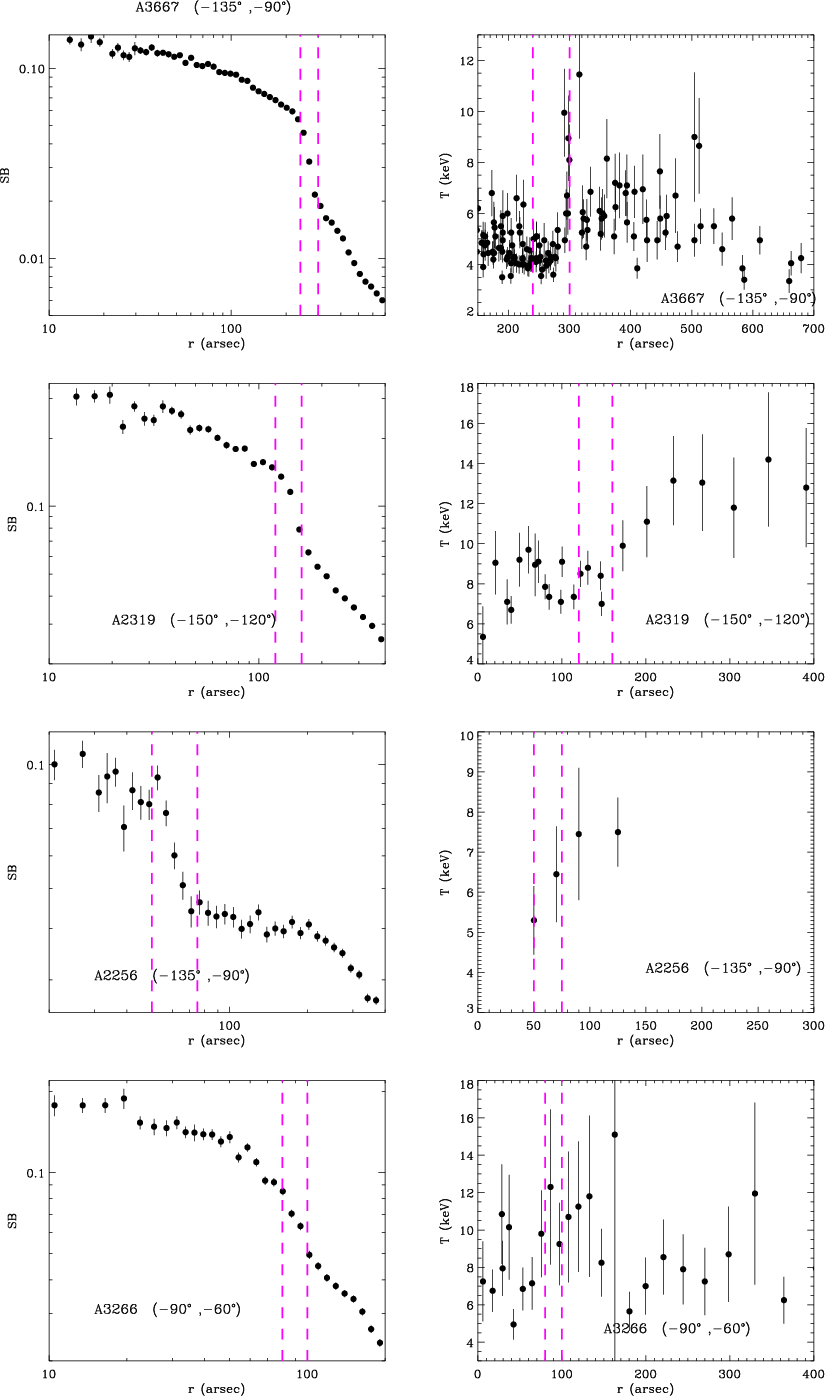
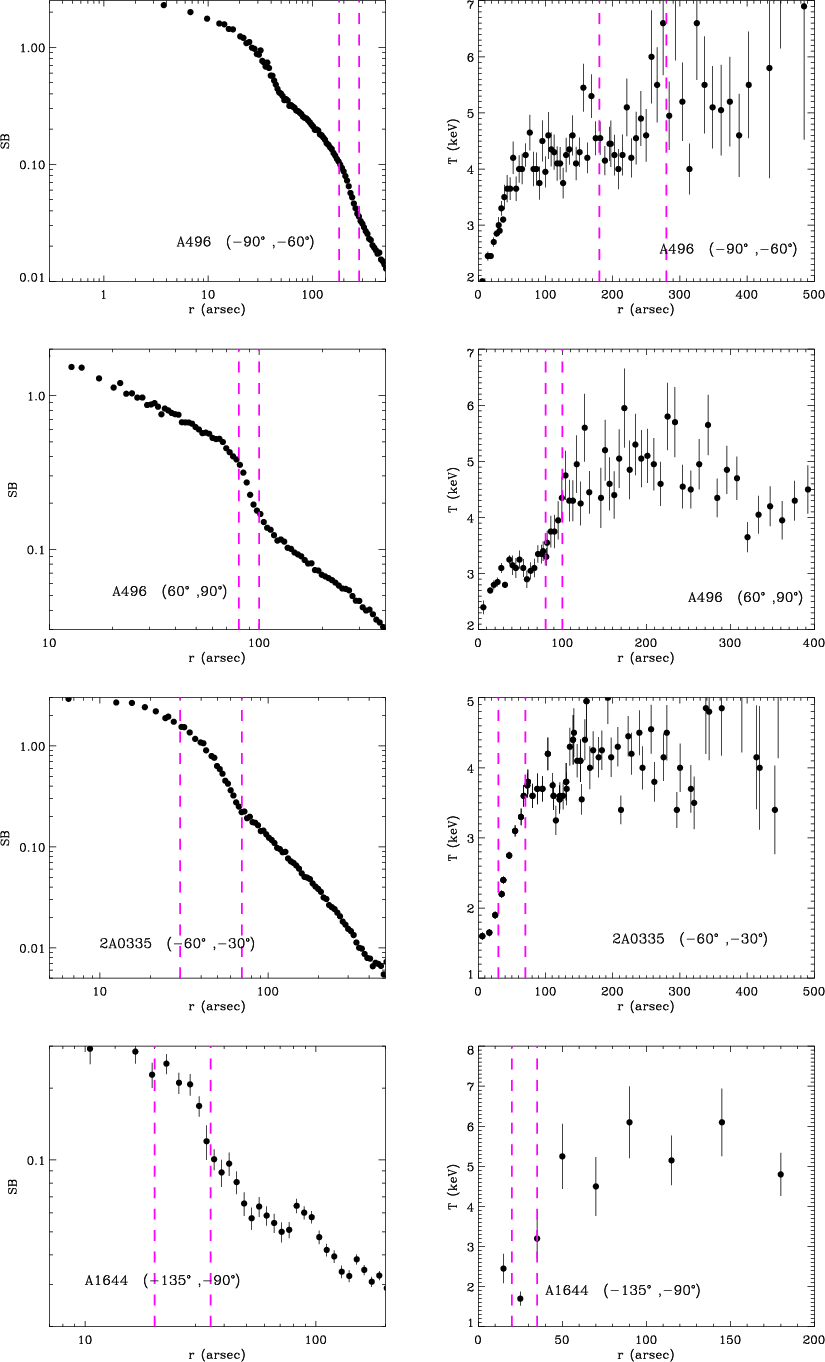
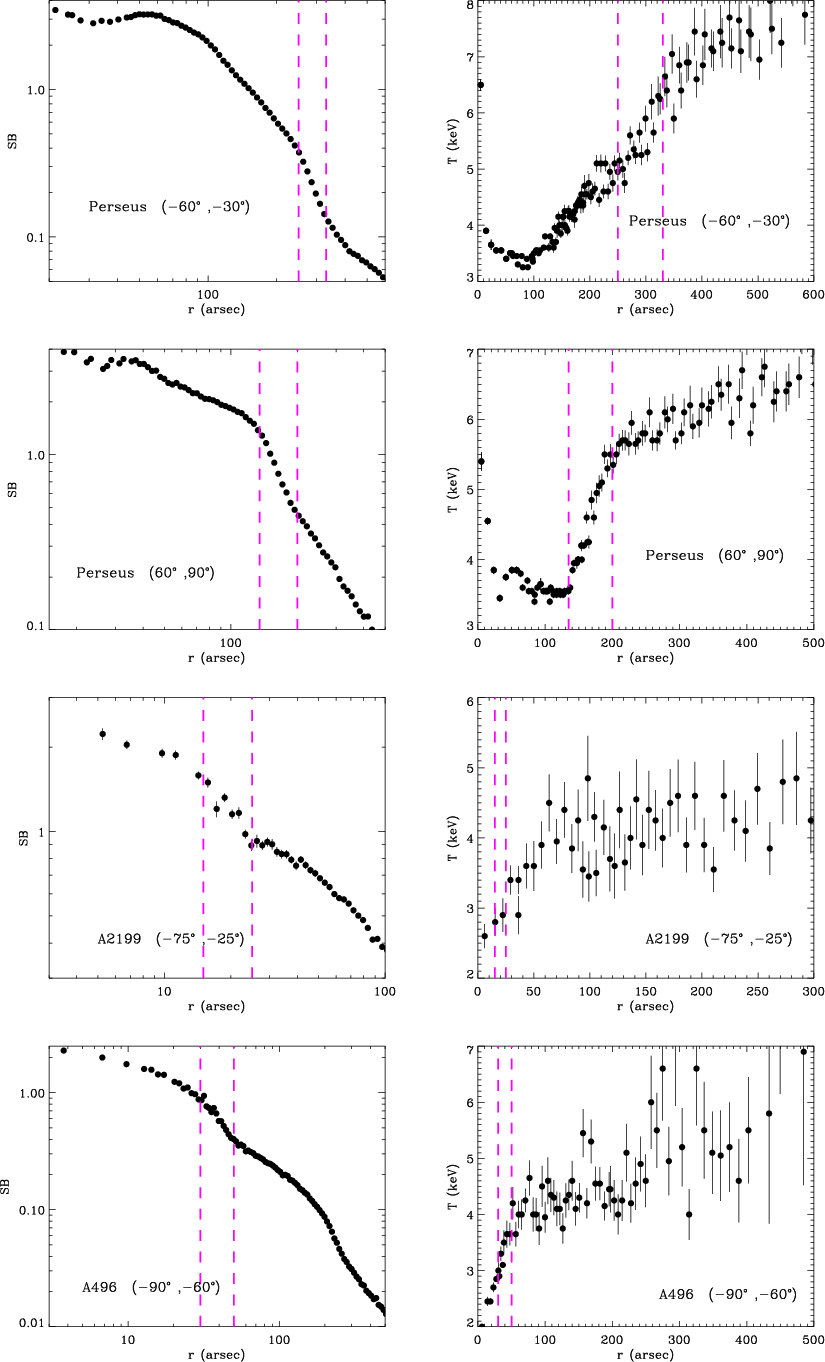
In this Appendix we report the EPIC flux images of the clusters of the sample where we detected cold fronts (Figs. A.1-A.5). The figures show the flux images in the 0.4-2 keV band, the black arcs indicate the position of the cold fronts, and the ``X'' symbol the selected center for the extraction of the profiles. In Figs. A.6-A.11, we show the surface brightness and temperature profiles across the discontinuities in a representative sectors for all the cold fronts reported in Table 3. For each plot the discontinuity region is marked with vertical red dashed lines.
|
Figure A.1: EPIC flux images for Centaurus, A262, Perseus, and A2199. |
| Open with DEXTER | |
|
Figure A.2: EPIC flux images for 2A0335, A3558, A496, and A1644. |
| Open with DEXTER | |
|
Figure A.3: EPIC flux images for A2065, A3562, A1795, and A576. |
| Open with DEXTER | |
|
Figure A.4: EPIC flux images for A754, A3667, A1367, and A85. |
| Open with DEXTER | |
|
Figure A.5: EPIC flux images for A2256, A2319, and A3266. |
| Open with DEXTER | |
|
Figure A.6: Surface brightness and temperature profiles for the cold fronts in Centaurus and A262. |
| Open with DEXTER | |
|
Figure A.7: Surface brightness and temperature profiles for the cold fronts in Perseus, A2199, and A496. |
| Open with DEXTER | |
|
Figure A.8: Surface brightness and temperature profiles for the cold fronts in A496, 2A0335, and A1644. |
| Open with DEXTER | |
|
Figure A.9: Surface brightness and temperature profiles for the cold fronts in A3558, A1795, A2065, and A576. |
| Open with DEXTER | |
|
Figure A.10: Surface brightness and temperature profiles for the cold fronts in A3562, A1367, A754, and A85*. |
| Open with DEXTER | |
|
Figure A.11: Surface brightness and temperature profiles for the cold fronts in A3667, A2319, A2256, and A3266. |
| Open with DEXTER | |
Current usage metrics show cumulative count of Article Views (full-text article views including HTML views, PDF and ePub downloads, according to the available data) and Abstracts Views on Vision4Press platform.
Data correspond to usage on the plateform after 2015. The current usage metrics is available 48-96 hours after online publication and is updated daily on week days.
Initial download of the metrics may take a while.
![\begin{figure}
\par\includegraphics[width=18cm,clip]{12496f_a01.eps}
\end{figure}](/articles/aa/olm/2010/08/aa12496-09/Timg68.png)
![\begin{figure}
\par\includegraphics[width=16.5cm,clip]{12496f_a02.eps}
\end{figure}](/articles/aa/olm/2010/08/aa12496-09/Timg69.png)
![\begin{figure}
\par\includegraphics[width=16.5cm,clip]{12496f_a03.eps}
\end{figure}](/articles/aa/olm/2010/08/aa12496-09/Timg70.png)
![\begin{figure}
\par\includegraphics[width=16.5cm,clip]{12496f_a04.eps}
\end{figure}](/articles/aa/olm/2010/08/aa12496-09/Timg71.png)
![\begin{figure}
\par\includegraphics[width=16.5cm,clip]{12496f_a05.eps}
\end{figure}](/articles/aa/olm/2010/08/aa12496-09/Timg72.png)
![\begin{figure}
\par\includegraphics[width=14cm,clip]{12496f_a06.ps}
\end{figure}](/articles/aa/olm/2010/08/aa12496-09/Timg73.png)
![\begin{figure}
\par\includegraphics[width=14cm,clip]{12496f_a07.ps}
\end{figure}](/articles/aa/olm/2010/08/aa12496-09/Timg74.png)
![\begin{figure}
\par\includegraphics[width=14cm,clip]{12496f_a08.ps}
\end{figure}](/articles/aa/olm/2010/08/aa12496-09/Timg75.png)
![\begin{figure}
\par\includegraphics[width=14cm,clip]{12496f_a09.ps}
\end{figure}](/articles/aa/olm/2010/08/aa12496-09/Timg76.png)
![\begin{figure}
\par\includegraphics[width=14cm,clip]{12496f_a10.ps}
\end{figure}](/articles/aa/olm/2010/08/aa12496-09/Timg77.png)
![\begin{figure}
\par\includegraphics[width=14cm,clip]{12496f_a11.ps}
\end{figure}](/articles/aa/olm/2010/08/aa12496-09/Timg78.png)