| Issue |
A&A
Volume 517, July 2010
|
|
|---|---|---|
| Article Number | A28 | |
| Number of page(s) | 43 | |
| Section | Extragalactic astronomy | |
| DOI | https://doi.org/10.1051/0004-6361/200913239 | |
| Published online | 28 July 2010 | |
Online Material
|
Figure 14: Panel showing the images utilized for the morphological classification. The left column contains details about the size and scale for the displayed images, as well as relevant morphological features and final classification. The central and right columns display the Digital Sky Survey and HST images, respectively. Orientation is north up, east to the left. |
| Open with DEXTER | |
|
Figure 14: continued. |
| Open with DEXTER | |
|
Figure 14: continued. |
| Open with DEXTER | |
|
Figure 14: continued. |
| Open with DEXTER | |
|
Figure 14: continued. |
| Open with DEXTER | |
|
Figure 14: continued. |
| Open with DEXTER | |
| Figure 14: continued. |
|
| Open with DEXTER | |
|
Figure 15:
[S II]
|
| Open with DEXTER | |
|
Figure 15: continued. |
| Open with DEXTER | |
|
Figure 16:
[O I] |
| Open with DEXTER | |
|
Figure 16: continued. |
| Open with DEXTER | |
|
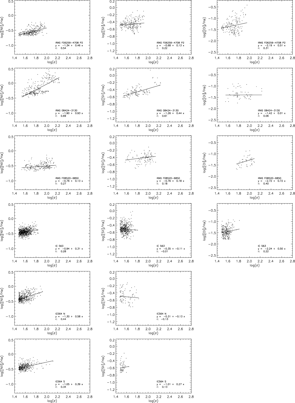
Figure 17: Line ratios vs. velocity dispersions relation for the individual pointings. |
| Open with DEXTER | |
|
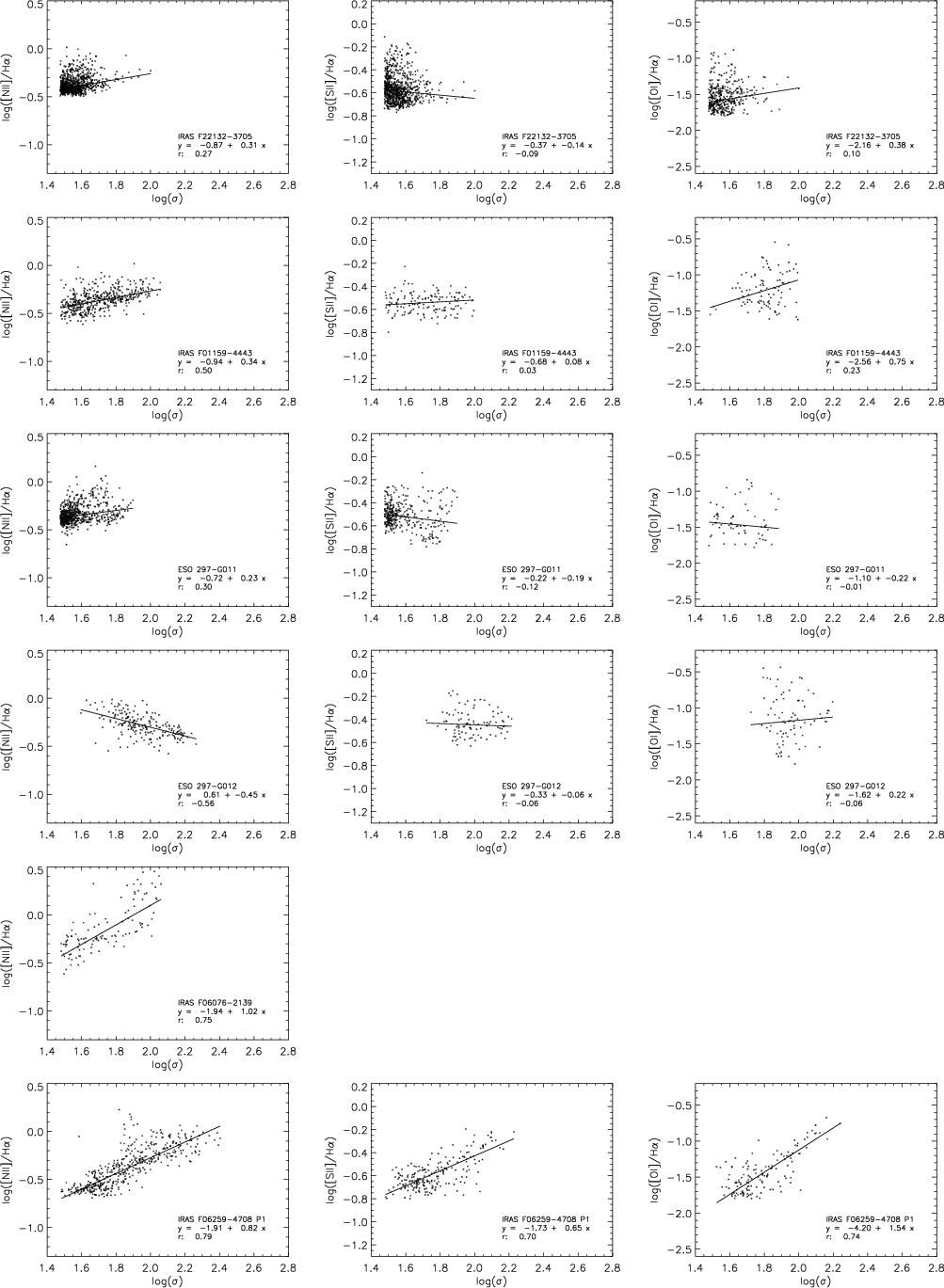
Figure 17: continued. |
| Open with DEXTER | |
|
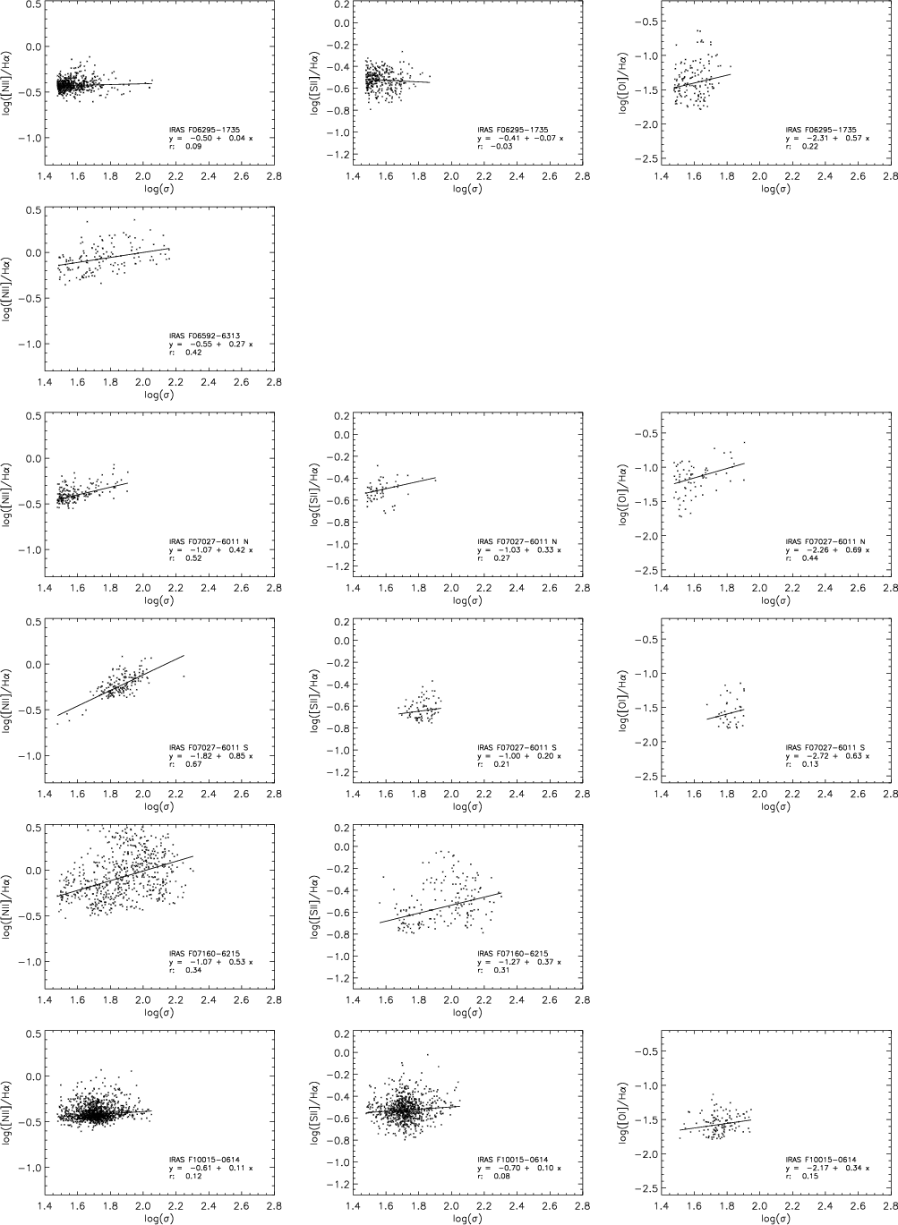
Figure 17: continued. |
| Open with DEXTER | |
|
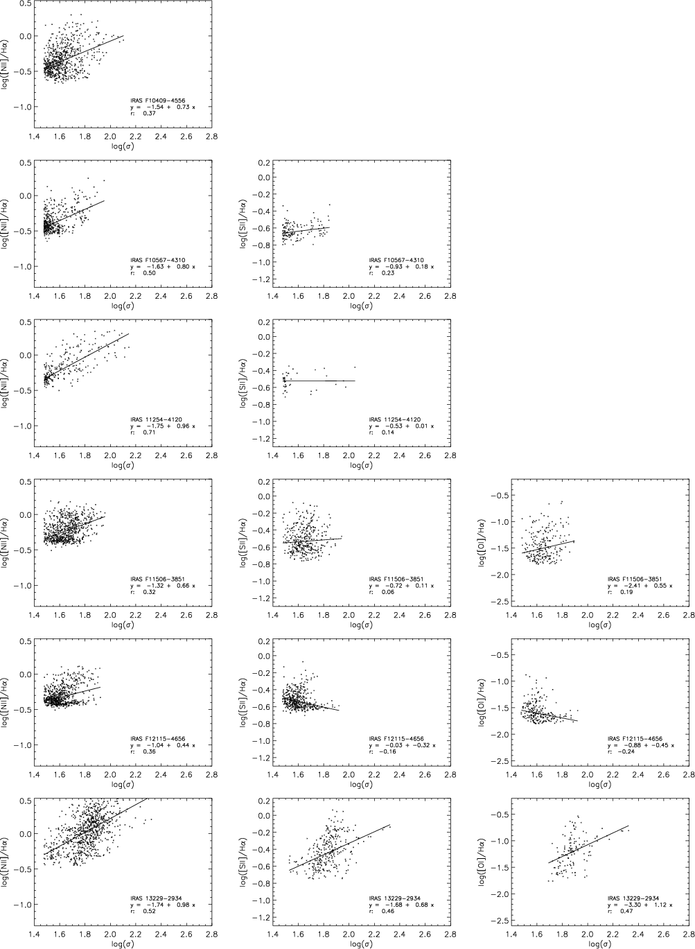
Figure 17: continued. |
| Open with DEXTER | |
|
Figure 17: continued. |
| Open with DEXTER | |
|
Figure 17: continued. |
| Open with DEXTER | |
|
Figure 17: continued. |
| Open with DEXTER | |
Current usage metrics show cumulative count of Article Views (full-text article views including HTML views, PDF and ePub downloads, according to the available data) and Abstracts Views on Vision4Press platform.
Data correspond to usage on the plateform after 2015. The current usage metrics is available 48-96 hours after online publication and is updated daily on week days.
Initial download of the metrics may take a while.
![\begin{figure}
\par\includegraphics[width=14cm,clip]{13239fg14a.eps}
\end{figure}](/articles/aa/olm/2010/09/aa13239-09/Timg99.png)
![\begin{figure}
\par\includegraphics[width=14cm,clip]{13239fg14b.eps}
\end{figure}](/articles/aa/olm/2010/09/aa13239-09/Timg100.png)
![\begin{figure}
\par\includegraphics[width=14cm,clip]{13239fg14c.eps}
\end{figure}](/articles/aa/olm/2010/09/aa13239-09/Timg101.png)
![\begin{figure}
\par\includegraphics[width=14cm,clip]{13239fg14d.eps}
\end{figure}](/articles/aa/olm/2010/09/aa13239-09/Timg102.png)
![\begin{figure}
\par\includegraphics[width=14cm,clip]{13239fg14e.eps}
\end{figure}](/articles/aa/olm/2010/09/aa13239-09/Timg103.png)
![\begin{figure}
\par\includegraphics[width=14cm,clip]{13239fg14f.eps}
\end{figure}](/articles/aa/olm/2010/09/aa13239-09/Timg104.png)
![\begin{figure}
\par\includegraphics[width=17cm,clip]{13239fg15a.ps}
\end{figure}](/articles/aa/olm/2010/09/aa13239-09/Timg106.png)
![\begin{figure}
\par\includegraphics[width=17cm,clip]{13239fg15b.ps}
\end{figure}](/articles/aa/olm/2010/09/aa13239-09/Timg107.png)
![\begin{figure}
\par\includegraphics[width=17cm,clip]{13239fg16a.ps}
\end{figure}](/articles/aa/olm/2010/09/aa13239-09/Timg108.png)
![\begin{figure}
\par\includegraphics[width=17cm,clip]{13239fg16b.ps}
\end{figure}](/articles/aa/olm/2010/09/aa13239-09/Timg109.png)
![\begin{figure}
\par\includegraphics[width=17cm,clip]{13239fg17a.eps}
\end{figure}](/articles/aa/olm/2010/09/aa13239-09/Timg110.png)
![\begin{figure}
\par\includegraphics[width=17cm,clip]{13239fg17b.eps}
\end{figure}](/articles/aa/olm/2010/09/aa13239-09/Timg111.png)
![\begin{figure}
\par\includegraphics[width=17cm,clip]{13239fg17c.eps}
\end{figure}](/articles/aa/olm/2010/09/aa13239-09/Timg112.png)
![\begin{figure}
\par\includegraphics[width=17cm,clip]{13239fg17d.eps}
\end{figure}](/articles/aa/olm/2010/09/aa13239-09/Timg113.png)
![\begin{figure}
\par\includegraphics[width=17cm,clip]{13239fg17e.eps}
\end{figure}](/articles/aa/olm/2010/09/aa13239-09/Timg114.png)
![\begin{figure}
\par\includegraphics[width=17cm,clip]{13239fg17f.eps}
\end{figure}](/articles/aa/olm/2010/09/aa13239-09/Timg115.png)
![\begin{figure}
\par\includegraphics[width=17cm,clip]{13239fg17g.eps}
\end{figure}](/articles/aa/olm/2010/09/aa13239-09/Timg116.png)