Free Access
Issue
A&A
Volume 518, July-August 2010
Herschel: the first science highlights
Article Number A9
Number of page(s) 23
Section Extragalactic astronomy
DOI https://doi.org/10.1051/0004-6361/200913392
Published online 20 August 2010

Online Material

Appendix A: Individual galaxies

We present in various properties of the 29 detected galaxies, in order of increasing 3C numbers, then NGC and B2 numbers:

  • 3C 31: NGC 383, or Arp 331. For information on this galaxy, see Sect. 3.4.
  • 3C 66b: UGC 1841. The well known bright radio jet of this galaxy was first discovered by Northover (1973) and the optical jet was first detected by Butcher et al. (1980). Meng & Zhou (2006) were able to perform a detailed study of the jet using the HST/WFPC2 images comparing them with the high resolution radio images and finding excellent correspondence. The optical image detects a disk, which is consistent with the CO spectra of the galaxy. The detection is a very faint one. The central disk diameter is about 10'' in the optical image, and the CO velocity width is 250 km s-1.
  • 3C 83.1: NGC 1265 (in Abell 426). It is one of the seven cases where the molecular gas was clearly detected in the CO(2-1) transition and not in the CO(1-0) transition. The optical image shows a dust lane of length 2.24'', according to Martel et al. (1999). This dust lane is oriented at $\sim$171$^\circ$, nearly orthogonal to the radio jet. If the CO emission were to correspond to the dust lane, its small size could explain the CO(1-0) signal dilution and non-detection.
  • 3C 88: UGC 2748. It is clearly detected in the CO(1-0) transition. The optical image shows no peculiar feature.
  • 3C 129: It is another example of a CO(2-1) detection with an upper limit in the CO(1-0) line. The FWHM velocity width of this galaxy is 200 km s-1. There is no hint of interaction in the Hubble image.
  • 3C 264: NGC 3862 (in Abell 1367). This galaxy has a double horn profile, in both transition lines, typical of a molecular gas disk (see Fig. 15). The velocity width of this galaxy is about 200 km s-1. The disk profile can be seen in the optical image, which also reveals a jet (Crane et al. 1993). Baum et al. (1997) suggest that the optical synchrotron emission, clearly visible in the optical image from the HST, is associated with the jet. According to Martel et al. (1999), the nucleus is unresolved, and the host galaxy projected image is very circular and smooth.
  • 3C 305: IC 1065. In the CO(1-0) spectra, the detection is very clear, with a broad velocity width of $\sim$600 km s-1. We have no data for the CO(2-1) emission line. The HST image presented by Martel et al. (1999) shows filamentary and disturbed swaths of dust stretching across the western side of the galaxy and a twisting ``arm'' of emission in the eastern side. Jackson et al. (1995) noticed a 1 $^{\prime\prime}$scale cone-line extension of the continuum emission north of the core, in a direction almost 90$^\circ$ from the radio axis. They proposed that this might be an effect of obscuration of near-nuclear emission in all other directions rather than an example of scattering of anisotropic directed radiation from a hidden active nucleus.
  • 3C 321: The HST optical image shows an extended dust absorption in the galaxy. It is clearly detected in the CO(1-0) transition with a velocity width of $\sim$500 km s-1. For the CO(2-1) emission, we have no data. The HST image reveals a nearby galaxy that might be interacting with this galaxy.
  • 3C 327: It is clearly detected in the CO(1-0) transition line, having a FWHM of $\sim$200 km s-1 and one of the highest dust temperature in this sample (64 K).
  • 3C 353: It is clearly detected in the CO(1-0) transition line, with a velocity width of $\sim$200 km s-1. Martel et al. (1999) propose that the outer isophotes of 3C 353 are very circular, while the inner isophotes are elongated in a southeast to northeast direction and are roughly peanut-shaped. Martel et al. (1999) also stated that this may be the result of a small-scale dust lane bifurcating the nucleus in a rough north-south direction or a true double nucleus.
  • 3C 386: It is clearly detected in CO(2-1) with a velocity width of $\sim$175 km s-1, but not in CO(1-0). The HST optical image shows a bright optical nucleus where strong diffraction spikes dominate the core of the elliptical galaxy (Martel et al. 1999).
  • 3C 403: It is clearly detected in the only transition observed, CO(1-0), with a velocity width of $\sim$500 km s-1. It presents the double horn profile already mentioned before and shown in Fig. 15. Martel et al. (1999) suggest this galaxy consists of two systems: a central elliptical region surrounded by a low-surface brightness halo with a sharp boundary at a distance of 3 kpc northwest of the nucleus. In the northwest region of the halo, two or three very weak dust lanes are barely discernible.
  • 3C 442: UGC 11958, Arp 169. Detected in the CO(2-1) emission line, but not in the CO(1-0). The HST optical image shows the elliptical shape of the galaxy but no evidence of dust obscuration. The isophotes of the outer halo of this elliptical galaxy are relatively smooth but within the central 520 pc, they are irregular and the light distribution becomes non-uniform.
  • 3C 449: It has a tentative double-horn profile that can be noticed from the CO(1-0) spectrum (Fig. 15), but one side is stronger than the other. From the HST image of this galaxy, it is possible to see the dust absorbing the visible light, not completely edge on. According to Martel et al. (1999), the morphology of this galaxy suggests that we are viewing the nearside of an inclined, geometrically thick torus or disk. The velocity width is about 500 km s-1.
  • NGC 315: It is detected in CO(1-0) only. There are no visible features in the HST image.
  • NGC 326: Detected with a higher intensity in CO(2-1) than in CO(1-0).
  • NGC 541: Arp 133 (in Abell 194). This galaxy was detected in CO(2-1) but not in CO(1-0). From the HST image, there is another galaxy that might be falling into NGC 541 and there is another larger galaxy probably having some tidal effects on NGC 541. According to Noel-Storr et al. (2003), this cD S0 galaxy has a radio core on VLBA scales and a core-jet morphology on VLA scales. The central isophotes, measured from the WFPC/2 images, vary considerably. The gas does not exhibit regular rotation profile.
  • NGC 708: in Abell 262. Detected in CO(1-0) but not in CO(2-1). This is the central galaxy of a cooling flow cluster, detected by Salomé & Combes (2003).
  • NGC 3801: It shows a double horn profile, detected in the CO(1-0) spectral line, with a velocity width of $\sim$600 km s-1.
  • NGC 4278: Also detected by Combes et al. (2007). The line emission is stronger in CO(2-1) than in CO(1-0), with a broader width. Note that this is the closest radio galaxy of all (9 Mpc). According to Combes et al. (2007), the dust morphology across the disk consists of irregular patches or lanes; this suggests that this galaxy has recently accreted its gas (Sarzi et al. 2006).
  • NGC 5127: There is a clear detection in the CO(2-1) line. The dust absorption is not clearly visible in the HST image even though the galaxy is not so remote (z=0.016).
  • NGC 7052: It exhibits a double-horn profile very clear in the CO(1-0) emission (Fig. 15) but probably also in the CO(2-1) emission, although it is only a tentative detection there. According to Nieto et al. (1990), the size of the dust disk is about 4 $^{\prime\prime}$.
  • B2 0116+31: This is a peculiar galaxy in this sample, showing a strong absorption line in CO(1-0). The molecular/dusty disk was studied in detail by García-Burillo et al. (2007) using the IRAM PdBI. The absorption line is surrounded by emission in both its blue and red-shifted wings. Because of the absorption, we cannot discard a possible double horn profile. As mentioned in Sect. 3.2, this absorption is the signature of molecular gas mass along the line of sight towards the AGN covering a very small area and because of its small filling factor, this absorption is quite rare, low, in contrast to that expected for a radio-selected sample. Its double-horn profile is also visible in the CO(2-1) transition line, where the absorption is much weaker; the continuum at this frequency is not detected, in contrast to the continuum for CO(1-0) which has a strong flux density of 164 mJy. The absorption line in this galaxy should cause an underestimation of the CO(1-0) integrated intensity and therefore an overestimation of the line ratio.
  • B2 0648+27: It is detected in CO(1-0) & CO(2-1) with a line ratio of 2.82, the highest of all. Emonts (2006) observed this galaxy with the VLA-C, where they detected HI in both emission and absorption noting that it is distributed in a large and massive ring-like structure. The distribution and kinematics of the HI gas, the presence of faint tails in deep optical imaging (Heisler & Vader 1994), and the detection of a galaxy-scale post-starburst young stellar population, imply that this galaxy formed from a major merger event that happened $\geq$1.5Gyr ago.
  • B2 0836+29B: It is clearly detected in the CO(1-0) emission line, but not in CO(2-1). There is nothing peculiar in its optical image.
  • B2 0924+30: It shows a peculiar perturbed dust lane in the optical image that may have been caused by interactions. It was not detected in CO(2-1), although there is a clear detection of the CO(1-0) line. The HST image shows another smaller galaxy that might have fallen into B2 0924+30.
  • B2 1347+28: in Abell 1800. Detected in the CO(2-1) line but not in CO(1-0). The disk in the optical image does not seem to be perfectly elliptical, maybe due to interactions.
  • OQ 208: Mrk 668. It has only been observed in the CO(1-0) line and exhibits a clear double horn profile as shown in Fig. 15 with a velocity width of about 400 km s-1.

Appendix B: Beam/source coupling

To correct the observed emission line brightness temperatures for beam dilution, we assume that (Thi et al. 2004)

\begin{displaymath}T^{'}_{\rm MB}=\frac{T_{\rm MB}(\Omega_{\rm source}+\Omega_{\rm beam})}{\Omega_{\rm source}},
\end{displaymath} (B.1)

where $T^{'}_{\rm MB}$ is the true main beam temperature and $T_{\rm MB}$ is the observed main beam temperature. By assuming an axisymmetric source and beam distribution, we can represent their distribution by an angular $\theta $ parameter leading to a correction factor for the CO(2-1)-to-CO(1-0) line ratio of

\begin{displaymath}
K=\frac{ \theta_{b-230}^2+ \theta_{\rm s}^2}{ \theta_{b-115}^2 + \theta_{\rm s}^2},
\end{displaymath} (B.2)

(see de Rijcke et al. (2006) for more details) where $\theta_{b-230}$ is the beam size at 230 GHz, $\theta_{b-115}$ is the beam size at 115 GHz, and $\theta_{\rm s}$ is the angular size of the source. We recall that for a Gaussian beam $\Omega_{\rm beam}=\int_{\rm beam}P_{\omega}\omega {\rm d}\omega = \frac{1}{4 ln2} \pi \theta_{\rm b}^2 \simeq 1.133 \theta_{\rm b}^2$, although the factor of 1.133 cancels out in Eq. (B.2). The correction factor K for the CO(2-1)-to-CO(1-0) line ratio is shown in Fig. B.1 as a function of the angular source size $\theta $, varying between 0.25, for a point source, and 1, for a completely extended source.

Besides to the galaxy 3CR 31, we did not apply the beam dilution correction because we do not know the molecular size of the galaxies and therefore the extent of the correction that we should apply.

\begin{figure}
\par\includegraphics[width=8cm,clip]{13392fg112.eps}
\end{figure} Figure B.1:

Correction factor K for the CO(2-1)-to-CO(1-0) line ration as a function of the size $\theta $ of the source detected in CO(1-0), to take into account the beam dilution. The possible sources go from a point like source to a source with a size of 22''

Open with DEXTER

Appendix C: 3CR 31

This galaxy was observed in more details than the remaining galaxies. It is an FR-I radio galaxy at a distance of 71 Mpc hosted by an elliptical D galaxy in the Zwicky cluster 0107.5+3212. A double-horn profile of the CO(1-0) and CO(2-1) lines was found by Lim et al. (2000), giving a first indication of a central molecular gas disk (see Fig. C.3). The Nobeyama Millimeter Array (NMA) CO(1-0) interferometer observations by Okuda et al. (2005) confirmed the presence of this molecular gas disk. Our PdBI observations are about the same spatial resolution as the NMA ones but are of a higher sensitivity as shown by the CO(1-0) integrated intensity map in Fig. C.2. The mean surface density of the molecular gas in the center is found to be $340~M_{\odot}~\mbox{pc}^{-2}$ given the spatial extension of $8\hbox{$^{\prime\prime}$ }$ for the molecular gas disk as shown on the CO(1-0) intensity profile along the major axis (see Fig. C.1).

\begin{figure}
\par\includegraphics[scale=0.30,angle=270,clip]{13392fg113.eps}
\end{figure} Figure C.1:

CO(1-0) intensity profile along the major axis for the 3CR 31 galaxy.

Open with DEXTER

\begin{figure}
\par\includegraphics[scale=0.40,clip]{13392fg114.eps}
\end{figure} Figure C.2:

CO(1-0) map of the PdBI for the 3CR 31 galaxy.

Open with DEXTER
\begin{figure}
\par\includegraphics[scale=0.4,clip]{13392fg115.eps}\includegraphics[scale=0.4,clip]{13392fg116.eps}
\end{figure} Figure C.3:

3CR 31 spectra of the CO(1-0) (upper image) and CO(2-1) (lower image) lines.

Open with DEXTER
From the PdBI image (see Fig. C.1 and C.2), we know that the molecular gas extension in 3CR 31 is about 8 $\hbox{$^{\prime\prime}$ }$. Applying the correction factor for the beam dilution (see Fig. B.2) to the CO(2-1)-to-CO(1-0) line ratio of 2.47 found with the IRAM-30m observations, the true line ratio would decrease to 0.8 assuming that the CO(2-1) component is 8 $\hbox{$^{\prime\prime}$ }$ large. According to Braine & Combes (1992), a line ratio of about 0.7 implies an optically thick gas with an excitation temperature of about 7 K.
\begin{figure}
\par\includegraphics[scale=0.3,angle=270,clip]{13392fg117.eps}
\end{figure} Figure C.4:

PV-diagram along the major axis for the CO(1-0) emission in the 3CR 31 galaxy from the PdBI data.

Open with DEXTER
Figure C.4 shows the position-velocity (PV) diagram for the CO(1-0) emission in 3CR 31. We can see that at 1 $\hbox{$^{\prime\prime}$ }$, the maximum velocity is $V_{\max}=190$ km s-1. Applying the correction for the inclination (i=39$^\circ$), the maximum rotation velocity at a radius of $1\hbox{$^{\prime\prime}$ }$ is $V_{\rm rot_{\max}}= V_{\max}/\sin(i) = 317$ km s-1. Thus the dynamical mass inside a radius of 1 $^{\prime\prime}$is estimated using $M_{\rm dyn}=\frac{R*V_{\rm rot}^2}{G}=1.02\times10^{10}~M_{\odot}$. We estimate the total molecular gas mass inside a radius of 1 $^{\prime\prime}$ to be $1.04 \times 10^8~M_{\odot}$ using the mean surface gas density, therefore the molecular gas represents about 1% of the dynamical mass at the very center of 3CR 31. Okuda et al. (2005) discussed in detail the dynamical and stability implications for the molecular gas at the center of 3CR 31.

\begin{figure}
\par\includegraphics[width=20cm,clip]{fig15a.eps}
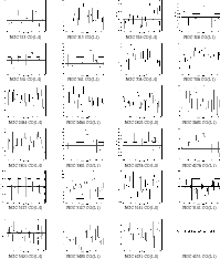
\end{figure} Figure 15:

Spectra of all the galaxies in the sample.

Open with DEXTER

\begin{figure}\par\includegraphics[width=18cm,clip]{fig15b.eps}
\end{figure} Figure 15:

continued.

Open with DEXTER

\begin{figure}\par\includegraphics[width=18cm,clip]{fig15c.eps}
\end{figure} Figure 15:

continued.

Open with DEXTER

\begin{figure}\par\includegraphics[width=18cm,clip]{fig15d.eps}
\end{figure} Figure 15:

continued.

Open with DEXTER

\begin{figure}\par\includegraphics[width=18cm,clip]{fig15e.eps}
\end{figure} Figure 15:

continued.

Open with DEXTER

Current usage metrics show cumulative count of Article Views (full-text article views including HTML views, PDF and ePub downloads, according to the available data) and Abstracts Views on Vision4Press platform.

Data correspond to usage on the plateform after 2015. The current usage metrics is available 48-96 hours after online publication and is updated daily on week days.

Initial download of the metrics may take a while.